||
众所周知,粘性流体运动的状态由其相应的Reynolds number 决定,而对于特定长度尺度的粘性流体问题而言,流动速度是影响Reynolds number的决定因素。一般而言,给定长度尺度和粘性系数,速度越高相应的Reynolds number也越高。流动速度由低到高的逐渐变化,对应的流动状态也会有比较大的变化。在Reynolds number小于某个临界值时,流动处于层流状态,然后随着流动速度的不断提高,流动就开始出现波动、失稳,一旦Reynolds number达到某个临界值,流动就进入湍流。从物理上看,由于流动速度不可能一瞬间就达到可使流动进入湍流的值,而只能由低变高的逐步加速,所以,任何流动都必然经历非定常的层流过程,或者说非定常层流是湍流的前生,其运动基因将传递到后生的湍流状态中。从动力系统的角度看,要研究湍流现象,就必须研究湍流现象发生前的层流-湍流转捩状态、以及更早的非定常层流状态,所以这里的研究对理解流动物理非常重要。
对于非定常层流的研究,从科学研究与工程应用的角度看,流体在固体表面的边界层流动分析具有特别重要的意义。由于非定常边界层的Navier-Stokes方程是非线性的,自从1905年边界层概念提出以来,至今对于其二维问题还没有得到任何精确解(或相似解)。
牛顿(Isaac Newton, 1642-1727) 于1686年发表了著名的原理《Principia》对质点和刚体建立了牛顿三定律和牛顿万有引力理论。第一个把流体看成由无穷多质点组成的连续体的学者是欧拉(Leonhard Euler , born April 15, 1707, Basel, Switzerland—died September 18, 1783, St. Petersburg, Russia) ,他于1757年推导出无粘流体力学方程,即欧拉方程。但是后来法国学者达朗贝尔(Jean Le Rond d’Alembert , born November 17, 1717, Paris, France—died October 29, 1783, Paris) 发现由欧拉方程得到物体在流体中运动阻力为零的谬误,人们开始思考流体具有内部的摩擦即粘性。1821年法国学者Navier (Claude Louis Marie Henri Navier,born 10 February 1785, Dijon, France –died 21 August 1836, Paris, France )从流体内部分子相互作用的角度推导出粘性流体的方程,后来发现有误,于1823年重新推导。英国的Stokes(Sir George Gabriel Stokes, 1st Baronet, born Aug. 13, 1819, Skreen, County Sligo, Ire.—died Feb. 1, 1903, Cambridge, England)在Navier工作的基础上,推导出了常数粘性的不可压流体方程,即现在著名的Navier-Stokes方程。遗憾的是,Navier-Stokes方程是非线性的,很难求解,是千禧年美国Clay研究所百万美元悬赏答案的7大数学难题之一,至今还没有解决。
随着社会发展,越来越需要流体力学的应用。为了简化Navier-Stokes方程使其可以被求解,德国著名学者L. Prandtl (普朗特) 于1904年提出了流体力学边界层理论,把流体分成二个区,靠近固体壁面附近的薄薄一层考虑粘性影响,即边界层(图1),而在边界层之外把流动看成无粘的理想流体,极大地简化了Navier-Stokes方程。L. Prandtl (普朗特)是中国空气动力学学科奠基人陆士嘉教授的导师,也是著名科学家钱学森的导师冯-卡门的导师。普朗特在力学领域除了提出流体力学边界层理论外还有许多的贡献,是哥廷根应用力学学派奠基人。

图1. Prandtl流体力学边界层概念
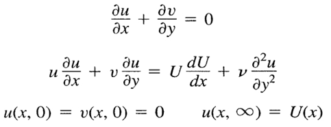
Prandtl与他的博士研究生Hans Blasius对定常层流边界层方程(方程1)进行了相似变换,把方程1转化成一个单一方程,成功预测了平板边界层的阻力(图2),推动了航空航天事业的发展。
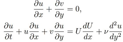
方程1:定常层流边界层方程
图2. 平板在均匀定常流体中
但是,对于非定常层流边界层方程(方程2)还没有获得很好的解决,至今已经过去120年。
方程2:非定常层流边界层方程
南非科学院院士、中国科学院纳米能源与系统研究所资深研究员孙博华最近在刊物《Physics of Fluids》(流体物理)上独立发表论文:一类非定常层流边界层的相似解(Similarity Solutions of a Class of Unsteady Laminar Boundary Layer),对这个120年未解的流体力学难题进行了细致研究。
在这项研究中,通过引入了一种新颖的相似变换(其中 U 左圆括号 x 右圆括号 为来流速度,Deltax)为边界层厚度,ν为运动粘度):

将二维非定常层流边界层方程转换为系数不明显含坐标 x 的单一偏微分方程:

利用这里的一般结果,对于平板边界层流动进行了应用,首次获得了用Kummer函数表示的相似解。对于扩张边界层流动,求出了一个包括了冲击波和孤子波解之和的解析解,这二个解的叠加为边界层内存在类孤立波相干结构(SCS)提供了证据。对于类孤立波的普适性,还探讨了二维和三维层流,以及三维湍流流动方程,发现它们都包含了相对于空间坐标的三阶导数。这一发现表明,所有粘性流体运动都有可能类孤立波结构(SCS)。
由于层流非定常边界层流动的研究对于理解从层流到湍流的过渡以及湍流的起源至关重要。研究成果于2024年8月20日在线发表后,部分结果在韩国大邱召开的世界力学大会(2024年8月24-30日)边界层分组上宣读介绍,同时著名数学家Fields奖得主丘成桐院士邀请孙博华于2024年9月11日在清华大学丘成桐数学科学中心介绍了非定常层流边界层的研究成果 https://ymsc.tsinghua.edu.cn/info/1057/3835.htm
文章来源:PoF | 中国科学院孙博华教授:非定常层流边界层的相似解-----对流体力学中一个120年的未解难题的探索
Archiver|手机版|科学网 ( 京ICP备07017567号-12 )
GMT+8, 2026-2-20 08:26
Powered by ScienceNet.cn
Copyright © 2007- 中国科学报社