精选
||
原文出自Journal of Advanced Ceramics (先进陶瓷)期刊

Cite this article:
Si S, Ma M, Zhang F, et al. Low temperature sintering ZTA Ceramics with CuO–TiO2–Nb2O5 composite oxides sintering aids for LTCC applications. Journal of Advanced Ceramics, 2025, https://doi.org/10.26599/JAC.2025.9221185
文章DOI:10.26599/JAC.2025.9221185
ResearchGate:Low temperature sintering ZTA Ceramics with CuO–TiO 2 –Nb 2 O 5 composite oxides sintering aids for LTCC applications
1、导读
随着高性能数据中心、深海深地探测以及空天信息技术的飞速发展,AI算力芯片、耐高温传感器、高功率射频器件等关键核心电子器件对高可靠和高性能的封装基板材料需求日益迫切。低温共烧陶瓷(LTCC)作为实现三维集成与多功能模块的主流技术,其瓶颈在于传统玻璃基LTCC材料难以兼顾高热导率、高弯曲强度和低介电损耗。本研究提出将CuO-TiO2-Nb2O5 (CTN) 复合氧化物烧结助剂引入氧化锆增韧氧化铝(ZTA)陶瓷中,将ZTA陶瓷烧结温度从1500℃以上降低至1050°C以下,获得了一种兼具高弯曲强度(405 MPa)、高热导率(18.7 W/m·K)和低介电损耗(9.97×10⁻4 @ 11.97 GHz)的新型无玻璃相LTCC材料,揭示了其低温烧结机制,并实现了与铜电极共烧,为高性能多层陶瓷基板的设计与开发提供了新思路。

图1. 文章摘要图
2、研究背景
为了降低陶瓷材料烧结温度,现有商用LTCC材料普遍采用玻璃助烧,以微晶玻璃体系和玻璃+陶瓷复合体系为主。然而,大量玻璃相的引入,导致了陶瓷材料本征热导率与弯曲强度的显著劣化,通常热导率仅为2~5 W/(m·K),弯曲强度150~300 MPa,无法满足高功率、高密度电子集成技术对高效散热与高可靠性封装基板材料的严苛要求。因此,开发无需玻璃相即可实现低温烧结,并能同时保持高热导率与高弯曲强度的新型LTCC材料体系,一直是该领域的研究热点。ZTA陶瓷因其结合了氧化铝的良好导热性和氧化锆的高强度而被视为一种理想的封装基板材料,但其固有的高烧结温度(>1500°C)阻碍了其与高电导率的铜、银或金电极的一体共烧。基于CTN复合氧化物助烧剂已被证实能有效降低氧化铝陶瓷的烧结温度,有望进一步推广应用至ZTA等更多的陶瓷材料体系,进而获得一类无玻璃相的新型LTCC材料体系。
3、文章亮点
(1)获得了1050℃低烧结温度,同时兼具高热导率(18.7 W/m·K)、高弯曲强度(405MPa)和低介电损耗的ZTA + CTN陶瓷(9.97×10⁻⁴ @ 11.97 GHz)。
(2)阐明了CTN在ZTA陶瓷中的低温助烧机制。CTN的引入有效降低了烧结活化能(854 KJ/mol降低至410.6 KJ/mol)并提升了致密化速率。CTN在ZrO2区域富集并发生反应促进活化烧结,在Al2O3晶界形成纳米非晶薄膜,共同建立了快速传质扩散通道。
(3)证实了ZTA+CTN陶瓷在毫米波频段(20-40 GHz)具有优异且稳定的介电性能,并实现了与多层铜电极的匹配共烧。
4、研究结果及结论
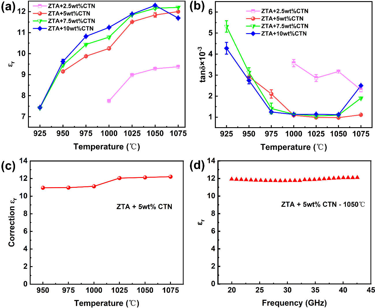
ZTA + CTN陶瓷在1050℃表现出较好的密度4.13g/cm3(理论密度4.14 g/cm3),样品随温度升高,介电常数逐渐增大,介电损耗先降后升,1050 ℃时样品的介电损耗达到最低(9.97×10⁻4 @ 11.97 GHz)。1025 ℃时介电常数出现明显突增,这与XRD精修结果揭示的m-ZrO₂→t-ZrO₂相变密切相关。材料在20–40 GHz频段内介电常数稳定在约12,波动较小,表现出较好的毫米波频率稳定性。ZTA+5 wt% CTN样品在1050 ℃时弯曲强度达到405 MPa,其热导率高达18.7 W/m·K,说明致密结构与相变增韧的双重贡献。

图2. 在不同温度下烧结的含5 wt% CTN的ZTA样品的密度。

图3. 样品在不同烧结温度下的微波介电性能

图4. 样品在不同烧结温度下的弯曲强度
通过阿伦尼乌斯方程来计算样品在给定相对密度下的烧结活化能。当相同组成的样品在不同升温速率下烧结后的密度几乎保持不变时,lnAf − nlnG 可视为常数。此时,ln(Tdρ/dt) 与 1/T 呈线性关系,烧结活化能可由拟合直线的斜率确定。因此,对相对密度为 60%、65%、70%、75%、80% 和 85% 的 ZTA 及 ZTA+CTN 陶瓷分别进行了 ln(Tdρ/dt) 对 104/T 的线性拟合。根据斜率计算得到的平均烧结活化能,如图 5(c)–(d) 所示,ZTA 为 854 kJ/mol,ZTA+CTN 为 410.6 kJ/mol。这些结果表明,引入CTN复合氧化物烧结助剂显著提高了 ZTA 陶瓷的烧结活性和驱动力,从而大幅降低了其烧结活化能。


图5. (a)不同升温速率下 ZTA 生坯的热机械曲线,(b)不同升温速率下 ZTA + CTN 生坯的热机械曲线,(c)ZTA 试样 ln(Tdρ/dt) 对 104/T 的线性拟合,(d)ZTA + CTN 试样 ln(Tdρ/dt) 对 104/T 的线性拟合。
XRD精修得到的定量结果表明,1000 °C时ZrO2完全以单斜相存在(m- ZrO2,约11%),未观察到四方相;1025 °C时m-ZrO2降至约5.4%,同时出现约6.1%的四方相t-ZrO2,表明m→t相变开始;1050 °C时m-ZrO2进一步降至约3.6%,t-ZrO2维持在约6.2%,说明两相在高温下共存。这些结果与文献报道的930–1170 °C转变区间一致。高温下t-ZrO2因其晶体对称性更高、熵贡献更大,吉布斯自由能低于m-ZrO2而得以稳定。冷却过程中,致密的刚性Al2O3基体对ZrO2 颗粒施加机械约束,抑制t→m相变伴随的体积膨胀,使大量亚稳t-ZrO2保留至室温,为相变增韧提供能量;然而,当粒径超过临界值dm的t-ZrO2晶粒在冷却时会重新转变为m-ZrO2,并伴随体积膨胀,在晶界处诱发微裂纹,从而进一步提高断裂韧性(ZTA陶瓷达5.67 MPa·m1/2)。此外,烧结过程中CTN与ZrO2反应生成CuZrNb2O8相,该化合物烧结温度较低(920 °C),有助于降低 ZTA 的烧结温度。

图6. (a)不同温度烧结的ZTA + 5 wt% CTN试样的XRD衍射图谱,(b)–(d)不同烧结温度下ZTA + 5 wt% CTN试样的Rietveld精修图谱。

图7. 由 Rietveld 精修计算得到的ZTA + 5 wt% CTN物相的相组成。
显微结构呈现两个典型区域:在Al2O3–ZrO2多相区,CTN添加剂偏聚于 ZrO2相界面并反应生成CuZrNb2O8;而在Al2O3晶界(包括三叉晶界及其延伸边界)处,则存在连续亮薄层,结合三叉晶界附近点3的EDS结果,可见Cu、Ti、Nb元素富集,且亮层沿晶界连续分布,排除了孤立杂质相的存在。综上可推断,该界面层为富集 CTN 助烧剂的相。

图8. ZTA + 5 wt% CTN样品于1050 °C烧结8h:(a)–(d)HAADF像,(e)–(j)对应图(a)的元素分布图。
表1. 区域1、2和3的EDS结果
Element | Al (K) | O (K) | Zr (K) | Cu (K) | Ti (K) | Nb (K) | ||
Atomic (%) | Area1 | 1.32 | 72.92 | 22.68 | 1.02 | 0.4 | 1.65 | |
Area2 | 20.98 | 79.02 | 0 | 0 | 0 | 0 | ||
Area3 | 31.74 | 65.59 | 0 | 1.24 | 0.16 | 1.27 | ||
Uncertainty (%) | Area1 | 0.19 | 0.72 | 0.88 | 0.24 | 0.16 | 0.78 | |
Area2 | 0.52 | 0.52 | 100 | 100 | 100 | 100 | ||
Area3 | 0.47 | 0.53 | 100 | 0.19 | 0.11 | 0.56 | ||
为验证与铜电极的共烧匹配性,采用自制铜浆进行共烧实验。将 ZTA + 5 wt% CTN 生带与铜浆经流延、切片、丝网印刷、叠层后,在氮气中于 1050 °C 烧结 30 min。截面形貌与 EDS 结果显示 Cu 未发生氧化或扩散。Cu层EDS中检出少量Al元素,系铜浆配制时有意掺入微量陶瓷粉以改善界面结合所致。为考察烧结温度对Cu层电导率的影响,采用四探针法测试系列样品的方阻,结果表明方阻随烧结温度升高无明显变化。上述结果说明 ZTA + 5 wt% CTN 陶瓷与 Cu 可实现匹配共烧。

图9. (a)ZTA + 5 wt% CTN与铜共烧30 mi(氮气气氛试样截面的背散射电子像及元素分布图,(b)不同烧结温度下ZTA + 5 wt% CTN试样铜层方阻的变化。
5、作者及研究团队简介

司世超(第一作者),上海大学和中国科学院上海硅酸盐研究所联合培养硕士研究生,主要从事LTCC材料研究。

马名生(通讯作者),博士,中国科学院上海硅酸盐研究所研究员,博士生导师,所务委员,关键陶瓷材料全国重点实验室主任助理、功能陶瓷研究部主任;主要从事LTCC材料及功能器件、PTC热敏材料及工程应用研究,入选上海市东方英才计划-优秀青年学术带头人,中国科学院青年创新促进会-优秀会员;发表学术论文60余篇,授权专利18项,部分专利实现高价值成果转化;荣获中国电子元件行业协会青年科技奖、大飞机先进材料创新联盟优秀成果奖、第十二届中国创新创业大赛航空专业赛一等奖等。

刘志甫(通讯作者),博士,中国科学院上海硅酸盐研究所研究员,博士生导师,无源集成器件与材料课题组组长,上海硅酸盐研究所学术委员会委员,上海市优秀学术带头人。作为负责人先后承担了国家重点研发计划课题、科技部“863”课题、“973”项目子课题、国家自然科学基金项目、企业合作项目等科研项目。发表科研论文150余篇,已申请发明专利50余项,授权40余项(包括美国、日本等国际专利)。兼任中国物理学会电介质物理分会专业委员会委员、中国电子学会元件分会学术委员、全国频率控制和选择用压电器件标准化技术委员会(TC182)委员、中国硅酸盐学特陶分会理事;亚洲铁电理事会(AFA)委员;Journal of Advanced Dielectrics期刊编委。
《先进陶瓷(英文)》(Journal of Advanced Ceramics)期刊简介
《先进陶瓷(英文)》于2012年创刊,清华大学主办,清华大学出版社出版,清华大学新型陶瓷材料全国重点实验室提供学术支持,创刊主编为中国工程院院士、清华大学李龙土教授,主编为清华大学林元华教授、郑州大学周延春教授和广东工业大学林华泰教授。该刊主要发表先进陶瓷领域的高质量原创性研究和综述类学术论文,涉及先进陶瓷的制备、结构表征、性能评价的各个细节,尤其侧重新材料研制和先进陶瓷基础科学研究等重要方面,致力于在世界先进陶瓷领域搭建学术交流平台,引领和促进先进陶瓷学科的发展。已被SCIE、Ei Compendex、Scopus、DOAJ、CSCD等数据库收录。现为月刊,2024年发文量为174篇;2025年6月发布的影响因子为16.6,连续5年位列Web of Science核心合集“材料科学,陶瓷”学科33种同类期刊第1名;2024年11月入选“中国科技期刊卓越行动计划二期”英文领军期刊项目;2025年入选中国科学院文献情报中心期刊分区表材料科学1区Top期刊。2023年起,本刊结束与国际出版商的合作,改由清华大学出版社自主研发、拥有自主知识产权的科技期刊国际化数字出版平台SciOpen独家发布,标志着该刊结束多年来“借船出海”的办刊模式,回归本土独立运营,也是我国优质英文期刊中最早回归国产平台的期刊之一。
期刊主页:https://www.sciopen.com/journal/2226-4108
投稿地址:https://mc03.manuscriptcentral.com/jacer
期刊ResearchGate主页:https://www.researchgate.net/journal/Journal-of-Advanced-Ceramics-2227-8508

Archiver|手机版|科学网 ( 京ICP备07017567号-12 )
GMT+8, 2026-4-5 03:37
Powered by ScienceNet.cn
Copyright © 2007- 中国科学报社