精选
||
原文出自Journal of Advanced Ceramics (先进陶瓷)期刊

Cite this article:
Zhang Z, Zhang Z, Chang G, et al. Nitrogen-induced stacking fault energy reduction enables spinodal-decomposition-driven toughening in (Ti,Zr)C ceramics. Journal of Advanced Ceramics, 2025, https://doi.org/10.26599/JAC.2025.9221188
文章DOI:10.26599/JAC.2025.9221188
ResearchGate: Nitrogen-induced stacking fault energy reduction enables spinodal-decomposition-driven toughening in (Ti,Zr)C ceramics
1、导读
过渡金属碳化物虽具有优异的力学性能,但其固有的硬韧性权衡难题极大地限制了其应用。通过高温时效诱导的调幅分解是增强碳化物陶瓷力学性能的有效策略,然而,碳化物陶瓷中普遍较高的层错能限制了调幅分解界面的位错钉扎效应,阻碍了硬度和韧性的同步提升。本研究以(Ti, Zr)C为模型体系,在第一性原理计算指导下,通过引入氮(N)元素系统地降低其层错能。研究发现,优化的成分和时效处理不仅诱导了早期堆垛层错的形成,并随着时效进行,这些层错逐渐演变为位错源,促进了位错的大量增殖,最终实现了硬度和韧性的大幅协同提升。

图1. 材料硬韧性协同提升机理示意图。
2、研究背景
过渡金属碳化物因其高硬度、耐磨损和优异的热稳定性,在高温装备、耐腐蚀管道等苛刻环境中扮演着重要角色。然而,“硬”与“韧”的矛盾是这类材料难以逾越的鸿沟:优异的硬度保证了其在应力下的抗变形能力,但韧性不足则会导致其在动态载荷或高温下开裂,严重缩短服役寿命。调幅分解机制能够在材料内部形成纳米级两相交替结构,被认为是同时提升硬度和韧性的有效途径。但在碳化物陶瓷中,其极高的层错能(SFE)使得位错难以开动和储存,导致调幅分解带来的性能提升效果大打折扣,如同给材料的潜力上了一把“锁”。因此,开发一种能有效降低层错能,从而“解锁”调幅分解全部潜力的策略,对于设计下一代高性能陶瓷至关重要。
3、文章亮点
(1)采用第一性原理计算指导实验设计,成功预测并证实了氮(N)掺杂是降低(Ti, Zr)C陶瓷层错能的有效途径,为后续微结构调控与性能提升奠定了理论基础。
(2)通过将氮掺杂与高温时效处理相结合,在(Ti, Zr)C陶瓷中成功诱导并调控了“堆垛层错→位错源→位错网络”的微观结构演化路径,揭示了一种全新的位错增殖强韧化机制。
(3)采用优化的氮含量(25%)与时效工艺,制备出的(Ti, Zr)(C, N)陶瓷与初始材料相比,硬度提升约40%,断裂韧性提升约50%,实现了硬度与韧性的大幅协同增强。
4、研究结果及结论
本研究首先通过第一性原理计算,证明了N元素的引入可以显著降低(Ti0.5, Zr0.5)C体系的层错能(USFE),且N含量越高,降低效果越明显(图2),这为后续的位错萌生提供了能量基础。

图2. 不同N含量(Ti0.5, Zr0.5)(C1-x, Nx)体系的滑移能计算结果,(a)滑移示意图,(b)不同含量滑移能计算结果。
在理论指导下,团队通过SPS法制备了不同N含量的样品,并在不同温度和时间下进行时效处理。高分辨透射电镜观察揭示了其独特的微观结构演化过程:在时效初期(1200 °C, 10h),低层错能成功诱导了大量堆垛层错的形成(图3)。

图3. 时效初期(1200 °C, 10h)样品中的层错结构,(a)形貌图片,(b)高分辨图片,(c-e)衍射斑点图片,(f)层错高分辨图片,(g)IFFT变换图片,(h)形貌图片。
随着时效的进行(1500 °C, 10h),这些早期形成的层错逐渐演变为位错源,在调幅分解形成的内应力场驱动下,萌生并增殖出高密度的位错网络(图4)。

图4. 时效后期(1500 °C, 10h)样品中形成的半共格界面与高密度位错网络,(a)形貌与元素分布,(b)界面高分辨形貌,(c-d)衍射花样,(e)界面高分辨形貌,(f)界面高分辨图片,(g)界面失配位错,(h)高密度位错形貌,(i)位错高分辨图片,(j)位错IFFT图片。
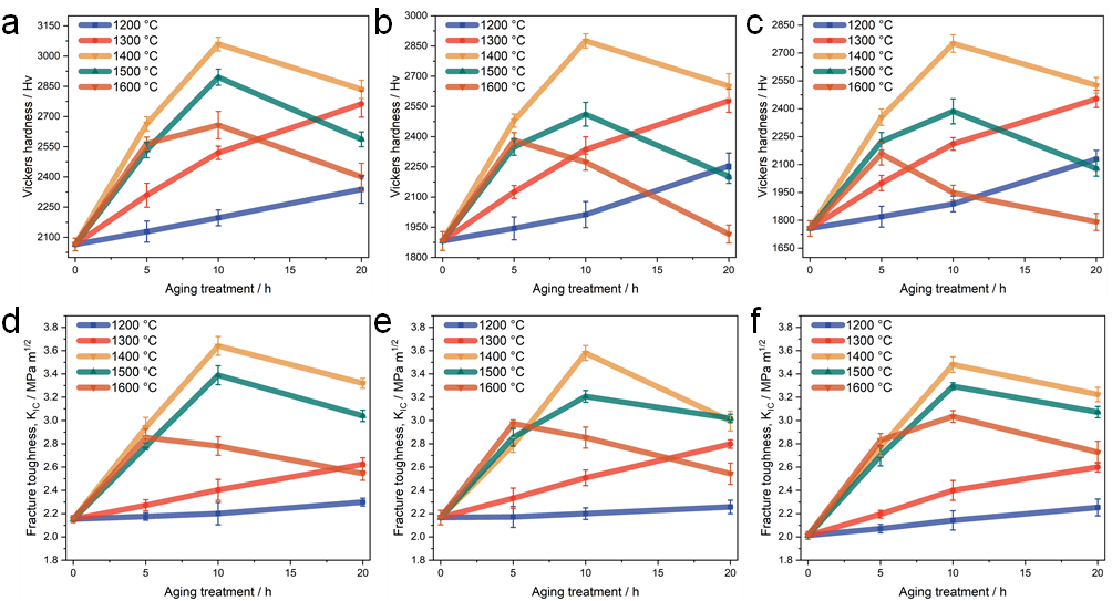
这种由层错演化而来的高密度位错网络,与调幅分解形成的纳米层片结构协同作用,极大地阻碍了裂纹的扩展,从而赋予了材料优异的韧性。最终,力学性能测试证实了这一设计的有效性。(Ti0.5, Zr0.5)(C0.75, N0.25)样品在1400 °C时效10h后,硬度和韧性达到峰值,实现了协同增强(图5)。

图5. 不同成分样品的硬度与韧性随时效温度和时间的变化规律,硬度:(a)(Ti0.5, Zr0.5)(C0.25, N0.75),(b)(Ti0.5, Zr0.5)(C0.5, N0.5), (c)(Ti0.5, Zr0.5)(C0.75, N0.25),韧性:(d)(Ti0.5, Zr0.5)(C0.25, N0.75),(e)(Ti0.5, Zr0.5)(C0.5, N0.5),(f)(Ti0.5, Zr0.5)(C0.75, N0.25).
5、作者及研究团队简介

张伟彬,山东大学材料科学与工程学院教授,博士生导师。国家重点研发计划青年科学家项目首席科学家,山东大学齐鲁青年学者。长期致力于高性能硬质耐磨材料、特种陶瓷材料与材料基因工程领域的研究。主持国家重点研发计划、国家自然科学基金等各类项目10余项;发表SCI论文100余篇,授权国家发明专利10余项。担任“高端功能与智能材料” 国家重点研发计划总体专家组专家,《Materials Genome Engineering Advances》《材料工程》《航空材料学报》等多个期刊青年编委。
个人主页:https://www.cmse.sdu.edu.cn/info/1586/25510.htm
研究方向:高性能硬质耐磨材料、特种陶瓷材料与材料基因工程
作者ORCID:https://orcid.org/0000-0001-6584-5053

范冰冰,郑州大学教授,博士生导师,《Journal of Advanced Ceramics》副主编,英国Global Exceptional Talent;主要从事微波烧结技术应用,功能陶瓷材料领域相关的研究工作,主持国家自然科学基金、英国皇家学会Wolfson基金、省杰出青年基金等20余项。发表学术论文80余篇,ESI高被引论文13篇,热点论文8篇,授权中国发明专利22项,英国发明专利2项,荷兰发明专利1项,获河南省青年五四奖,江苏省双创人才等荣誉称号。
个人主页:https://www5.zzu.edu.cn/clgc/info/1207/4359.htm
研究方向:功能陶瓷材料,微波烧结技术
作者ORCID:https://orcid.org/my-orcid?orcid=0000-0002-1168-1142
作者及研究团队在Journal of Advanced Ceramics上发表的相关代表作:
1. Li M, Li W, Wang Y, et al. Entropy-driven microwave absorption enhancement in hexagonal (Ba1/3Sr1/3Ca1/3)FeO3 perovskite. Journal of Advanced Ceramics, 2025, 14(4): 9221059. https://doi.org/10.26599/JAC.2025.9221059
2. Yuan X, Wang Q, Wu R, et al. Environment-friendly Ca2+/Cr3+ co-doping LaAlO3 ceramics with excellent infrared radiation performance for energy-saving. Journal of Advanced Ceramics, 2025, 14(1): 9221017. https://doi.org/10.26599/JAC.2024.9221017
《先进陶瓷(英文)》(Journal of Advanced Ceramics)期刊简介
《先进陶瓷(英文)》于2012年创刊,清华大学主办,清华大学出版社出版,清华大学新型陶瓷材料全国重点实验室提供学术支持,创刊主编为中国工程院院士、清华大学李龙土教授,主编为清华大学林元华教授、郑州大学周延春教授和广东工业大学林华泰教授。该刊主要发表先进陶瓷领域的高质量原创性研究和综述类学术论文,涉及先进陶瓷的制备、结构表征、性能评价的各个细节,尤其侧重新材料研制和先进陶瓷基础科学研究等重要方面,致力于在世界先进陶瓷领域搭建学术交流平台,引领和促进先进陶瓷学科的发展。已被SCIE、Ei Compendex、Scopus、DOAJ、CSCD等数据库收录。现为月刊,2024年发文量为174篇;2025年6月发布的影响因子为16.6,连续5年位列Web of Science核心合集“材料科学,陶瓷”学科33种同类期刊第1名;2024年11月入选“中国科技期刊卓越行动计划二期”英文领军期刊项目;2025年入选中国科学院文献情报中心期刊分区表材料科学1区Top期刊。2023年起,本刊结束与国际出版商的合作,改由清华大学出版社自主研发、拥有自主知识产权的科技期刊国际化数字出版平台SciOpen独家发布,标志着该刊结束多年来“借船出海”的办刊模式,回归本土独立运营,也是我国优质英文期刊中最早回归国产平台的期刊之一。
期刊主页:https://www.sciopen.com/journal/2226-4108
投稿地址:https://mc03.manuscriptcentral.com/jacer
期刊ResearchGate主页:https://www.researchgate.net/journal/Journal-of-Advanced-Ceramics-2227-8508

Archiver|手机版|科学网 ( 京ICP备07017567号-12 )
GMT+8, 2025-10-25 11:07
Powered by ScienceNet.cn
Copyright © 2007- 中国科学报社