||


First-principles calculations on strain tunable hyperfine Stark shift of shallow donors in Si
Zikai Zhou(周子凯), and Jun Kang(康俊)
Chin. Phys. B, 2025, Vol. 34(8): 087102

Kane架构是一种基于硅中浅能级施主杂质电子和核自旋作为量子比特的量子计算机方案。通过栅极电场精准调控杂质原子核与电子间的超精细相互作用,是实现该架构中量子操作和测量的关键技术。超精细相互作用的精确计算依赖于对杂质波函数的准确描述。然而,由于浅能级杂质波函数极为扩展,计算所需超胞尺寸远大于常规第一性原理方法的计算规模。
本文利用电势补缀和折叠谱计算方法,在包含数十万硅原子的超胞中对浅施主杂质态进行了第一性原理计算。计算模拟了电场和应变对超精细相互作用的调控作用,模拟结果与实验高度吻合。在此基础上,本文进一步探索了应变对电场调控超精细相互作用能力的扩展效应,并针对不同杂质和电场方向,预测了应变增强量子门操作速度的区间。
该研究验证了电势补缀法可以克服常规第一性原理计算对体系尺寸的限制,准确地对浅能级杂质的波函数相关性质进行模拟。相关计算结果有望为 Kane 量子计算机的发展提供理论帮助。

Fig. 1. (a) The wave function of the ground P donor state (state) in the supercell containing quarter-million atoms. The isosurface includes 80% of the total charge. (b) The relative hyperfine interaction strength ΔA(E)/A(0) for P donors as a function of |E| is shown. The triangles are calculated values, the dashed lines are quadratic fittings, and the shaded regions correspond to experimental results. (c) The calculated A(x)/A(0) for P donors in Si, where x refers to a strain. The results from previous studies are also presented for comparison, including the valley-repopulation model of Wilson–Feher, the Green’s function and tight-binding results, as well as experimental values. (d) spin-resonance frequency change Δf(E,x)/Δf(E,0) as a function of x for in-plane and out-of-plane fields.

Multiple anomalous Hall effect in the kagome metal TbV5MnSn6
Zi-Cheng Tao(陶咨成), Yi-Xuan Luo(罗伊轩), Shi-Hao Zhang(张世豪), and Yan-Feng Guo(郭艳峰)
Chin. Phys. B, 2025, 34(8): 087103

笼目(kagome)晶格具有独特的几何阻挫,天然承载狄拉克费米子、平带和范霍夫奇点等奇异电子态,是研究磁性、电子关联与拓扑物态相互作用的理想平台。该家族成员TbV6Sn6虽表现出Ising铁磁性与反常霍尔效应,但磁有序温度较低(约4.3 K)且矫顽力小,限制了其深入研究和应用。
本研究采用化学替代策略,以磁性Mn部分取代TbV6Sn6中构成笼目层的V,成功合成新型笼目金属TbV5MnSn6。通过磁性、电输运测量和第一性原理计算,发现Mn掺杂显著增强了铁磁有序,其磁性能优于典型笼目磁体TbMn6Sn6和TbV6Sn6。此外,磁输运实验中观测到明显的类拓扑霍尔效应和贝里曲率主导的反常霍尔效应,理论计算进一步证实材料具有非平庸的能带拓扑特性。
研究亮点包括:(1)磁性能显著提升:Mn掺杂大幅提高TbV6Sn6的磁有序温度与稳定性,拓展了其在低温磁电器件中的应用潜力。(2)多重霍尔效应共存:拓扑霍尔信号与常规反常霍尔效应并存,为探索笼目体系中贝里曲率、自旋构型与拓扑态的耦合提供了新平台。(3)理论实验相结合:第一性原理计算揭示了Mn对能带拓扑的调控作用,支持了反常霍尔效应的拓扑起源。
该工作通过化学掺杂有效提升了笼目磁体的性能,为发展低功耗永磁材料和拓扑自旋电子器件提供了新思路。TbV5MnSn6中磁序与拓扑效应的协同作用,有望应用于非易失性存储器和拓扑量子器件。后续可结合磁力显微镜、洛伦兹电镜等微观技术,进一步解析其磁结构演化与拓扑输运的关联机制。

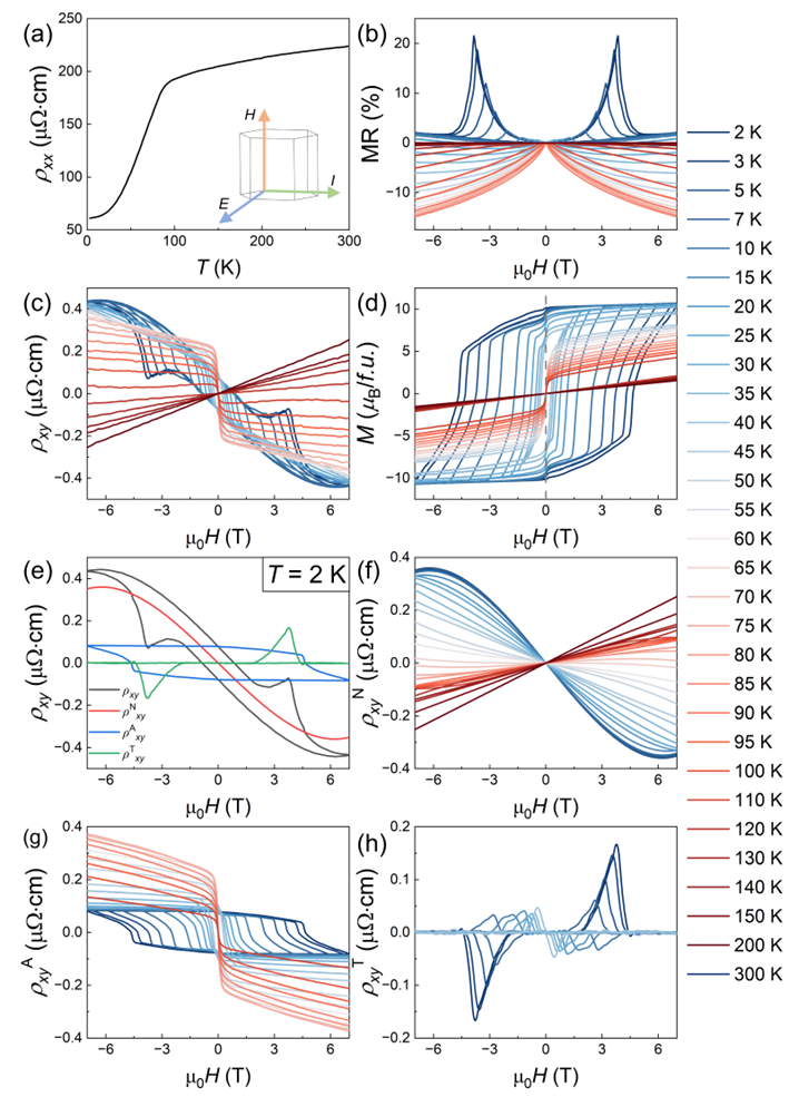
Fig. 3. Unconventional electronic transport behaviors in TbV5MnSn6. (a) Temperature dependent longitudinal resistivity ρxx. The inset shows the measurement configuration for ρxy of TbV5MnSn6. The field dependence of (a) magnetoresistance, (b) transverse resistivity ρxy, and (c) magnetizations M at various temperatures for H along the c-axis. (e) The extracted ordinary (ρxyN), anomalous (ρxyA), and THE-like (ρxyT) Hall resistivities from the total Hall resistivity (ρxy) at 2 K. The different components of Hall resistivity for (f) ordinary Hall resistivity ρxyN, (g) anomalous Hall resistivity ρxyA, and (h) THE-like Hall resistivity ρxyT extracted from the equation 1, at various temperatures for H along the c-axis.

Lattice and phonon properties in semiconductors FeSb2 and RuSb2
Meng Zhang(张萌), Shengnan Dai(戴胜男), Ranran Zhang(张冉冉), Mingfang Shu(舒明方), Wei Xu(徐威), Jinfeng Zhu(朱金峰), Xianglin Liu(刘祥麟), Yixuan Luo(罗伊轩), Toru Ishigaki, Bo Duan(段波), Yanfeng Guo(郭艳峰), Zhe Qu(屈哲), Jiong Yang(杨炯), and Jie Ma(马杰)
Chin. Phys. B, 2025, Vol. 34(8): 086302

过渡金属双磷族化物(MX2)因其独特的物理特性,在窄带隙半导体材料研究中备受关注。FeSb2和RuSb2作为该体系中的重要成员,展现出优异的热电性能潜力。然而,尽管其电子性质已有较多研究,但其晶格和声子动力学特性仍未得到深入探讨。
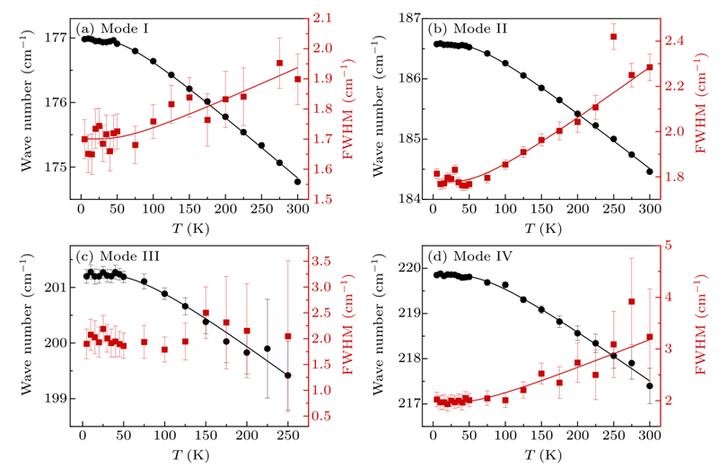
本文系统比较了FeSb2和RuSb2的晶格结构与热力学行为,揭示了两者在热膨胀、声子相互作用和比热等方面的差异。研究发现,RuSb2表现出各向同性的热膨胀行为,而FeSb2则呈现出明显的各向异性。此外,RuSb2的比热在约25 K附近出现类玻色峰,表明存在声学-光学声子耦合。通过偏振拉曼光谱识别了RuSb2的四个拉曼活性模,并通过第一性原理计算进一步验证;研究还表明拉曼线宽随温度变化主要源于声子-声子相互作用,电子-声子相互作用较弱。这些发现为理解过渡金属双磷族化物的声子行为提供了新视角,也为调控该类材料的低温热输运性质提供了理论基础。本研究不仅深化了对这类功能材料的认识,还有望推动其在热电器件中的应用发展。

Fig. 4. Temperature-dependence of the wave numbers and FWHMs of modes (a) I, (b) II, (c) III, and (d) IV in RuSb2.

Instrumentation and Measurement
Computational Programs for Physics

Celebrating 30 Years ofChinese Physics B
Stephen J. Pennycook: A research life in atomic-resolution STEM and EELS
Recent progress on kagome metals and superconductors
Moiré physics in two-dimensional materials
Computational programs in complex systems
Quantum computing and quantum sensing
Structures and properties of materials under high pressure
Post-Moore era: Materials and device physics
States and new effects in nonequilibrium
Smart design of materials and design of smart materials
Superconductivity in vanadium-based kagome materials

https://iopscience.iop.org/journal/1674-1056
Archiver|手机版|科学网 ( 京ICP备07017567号-12 )
GMT+8, 2025-11-25 16:22
Powered by ScienceNet.cn
Copyright © 2007- 中国科学报社