精选
原文出自Journal of Advanced Ceramics (先进陶瓷)期刊

Cite this article:
Li C, Du K, Zhou M, et al. Achieving ultra-low thermal expansion and excellent microwave dielectric properties in osumilite-type BaMg2Al6Si9−xGexO30 ceramics. Journal of Advanced Ceramics, 2025, https://doi.org/10.26599/JAC.2025.9221146
文章DOI:10.26599/JAC.2025.9221146
1、导读
本文聚焦具有[Si/AO4]四面体六元环结构的大隅石型BaMg2Al6Si9O30基陶瓷,提出基于多面体耦合策略,在特点位点上设计合适的结构优化方案,通过对材料自身晶体结构的调控,协同实现单相大隅石型BaMg2Al6Si9O30基陶瓷的超低εr、高Q×f、近零τf和超低热膨胀,打破了微波介质陶瓷中微波介电性能和热膨胀系数难以协同优化的难题,率先在致密的BaMg2Al6Si9-xGexO30 (x = 1.25)微波介质陶瓷中实现了兼具超低εr、高Q×f、近零τf和超低热膨胀系数:εr = 5.84, Q×f = 32,351 GHz, τf = ‒7.27 ppm/°C, CTE = +1.07 ppm/°C (‒150 °C~+274 °C)。

图1 文章摘要图
2、研究背景
通信技术向毫米波甚至太赫兹频段的发展,要求应用于介质谐振器、滤波器、双工器、基板等元器件的微波介质陶瓷满足超低介(εr≤ 6)、高品质因数(Q×f)和近零的谐振频率温度系数(τf)特性。甚至在介质封装基板的应用中,微波介质陶瓷还要具备尽可能小的热膨胀系数(CTE)以应对使用过程中的热匹配失调问题。但绝大部分的低介微波介质陶瓷的τf值为较大的负值(约‒60.0ppm/°C),通常掺入正τf值的Ti基调控剂(TiO2、CaTiO3、SrTiO3等)来调节至近零。而由于Ti调控剂的Q×f值较低、易与基体陶瓷反应等缺点,非谐性Ti基调控剂在调控基体陶瓷τf值的同时会严重恶化其Q×f值并增加复合陶瓷的εr值。且微波介质陶瓷的CTE较大(约为10 ppm/℃),在调控其CTE时,也是通过加入具有负CTE值的第二相调控剂,以牺牲微波介电性能为代价来实现对CTE的优化,在现有的微波介质陶瓷中难以协同实现超低εr、高Q×f、近零τf和超低CTE值。大隅石型BaMg2Al6Si9O30陶瓷具有典型的[Si/AO4]双四面体六元环结构,具有超低的εr值和较小的负τf值,但其Q×f值较低,且由于晶体结构中存在易振动的2配位氧离子,导致BaMg2Al6Si9O30陶瓷在一定温度范围内还存在负热膨胀现象。团队设计大离子的Ge4+对Si4+的适量取代,能伸长Si/Al(1)-O键的同时,协同增加Si/Al(1)-O键的共价性,并增加六元环结构对称性。同时,通过伸长Si/Al(1)-O键,弯曲2配位氧离子处的角度,抑制氧离子在升温过程中的纵向振动,有望实现微波介电性能和热膨胀系数的协同优化,为6G毫米波用高性能微波介质陶瓷的改性研究提供理论与实验参考。
3、文章亮点
1)设计大离子Ge4+对Si4+的取代,伸长Si/Al(1)-O键并增加其共价性,同时抑制2配位氧离子的纵向振动,在BaMg2Al6Si9-xGexO30陶瓷中实现了Q×f值、τf值和热膨胀系数的协同优化。
2)BaMg2Al6Si9O30基陶瓷的负热膨胀主要与2配位氧离子在高温下的纵向振动有关,可通过对Si/Al(1)-O(1)-Si/Al(1)角度的优化实现对宽温度范围内热膨胀系数的精准调控。
3)在致密的BaMg2Al6Si9-xGexO30 (x = 1.25)微波介质陶瓷中实现了兼具超低εr、高Q×f、近零τf和超低热膨胀系数:εr = 5.84, Q×f = 32,351 GHz, τf = ‒7.27 ppm/°C, CTE = +1.07 ppm/°C。
4、研究结果及结论
BaMg2Al6Si9-xGexO30 (0.25 ≤ x ≤ 2)均为单相的大隅石型固溶体陶瓷,Ge4+对Si4+的取代抑制了BaMg2Al6Si9O30陶瓷中的第二相,且随着Ge4+取代量的增加,XRD衍射锋的左移表明了Ge4+的取代增大了陶瓷的晶胞体积。同时,BaMg2Al6Si9-xGexO30 (x = 0.05)晶粒中的元素分布均匀,测试的衍射斑点的分析结果与拟合的衍射斑点结果一致,证实了Ge4+能有效的取代Si4+形成BaMg2Al6Si9-xGexO30固溶体,清晰的FFT和IFFT图像表明了样品具备较好的结晶质量。

图2 BaMg2Al6Si9-xGexO30 (0.25 ≤ x ≤ 2)陶瓷在致密烧结温度下的XRD图

图3 BaMg2Al6Si9-xGexO30 (x = 0.05)晶粒的能谱图与高分辨透射电镜图
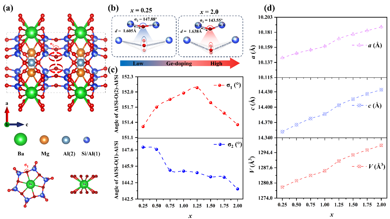
双[Si/Al(1)O4]四面体六元环为大隅石型BaMg2Al6Si9O30晶体结构的主要“骨架”,其中2配位的O(1)2-离子在高温下易发生沿a轴方向的纵向振动。大离子Ge4+对Si4+的取代增加了BaMg2Al6Si9-xGexO30 (0.25 ≤ x ≤ 2)陶瓷的晶胞参数,同时伸长了Si/Al(1)-O键,Si/Al(1)-O(1)键的伸长促使Si/Al(1)-O(1)-Si/Al(1)角度(σ2)的下降,σ2的降低会抑制O(1)2-离子的振动,从而实现对热膨胀系数的调控。此外,Si/Al(1)-O(2)键的伸长也会扭转Si/Al(1)-O(2)-Si/Al(1)角度(σ1),一定含量的Ge4+对Si4+的取代,会增大σ1并增加了六元环的对称性与圆润度。通过VASP理论计算表明大离子半径的Ge4+对Si4+的取代,BaMg2Al6Si9-xGexO30 (0.25 ≤ x ≤ 2)陶瓷的禁带宽度逐渐降低,Ba-O键和Mg-O键展现出较低的电子局域化(ELF),而Al-O键、Si-O键和Ge-O键的ELF值较大,其中Ge-O键的展现出最大的ELF值,表明其较强的共价性。

图4 (a) BaMg2Al6Si9O30的晶体结构示意图;(b) Si/Al(1)-O(1)键的伸长对σ2角度的影响示意图;(c)-(d) BaMg2Al6Si9-xGexO30 (0.25 ≤ x ≤ 2)陶瓷晶胞参数随Ge4+取代量变化的示意图

图5 BaMg2Al6Si9-xGexO30 (x = 1.25)陶瓷的能带和ELF图
BaMg2Al6Si9-xGexO30 (0.25 ≤ x ≤ 2)陶瓷展现出较高的相对密度,εr稳定在5.37至6.07之间,主要与相对密度和总离子极化率的变化有关;Q×f值随着取代量的增加逐渐优化至32,351 GHz,Q×f值的增加主要与四面体六元环的圆润度和Si/Al(1)-O键共价比的增加有关;τf值在0.25 ≤ x ≤ 2范围内均展现出近零的值(‒8.69 ppm/°C ≤ τf ≤ ‒5.46 ppm/°C),这主要归因于少量Ge4+对Si4+的取代并未对晶体结构“骨架”造成较大扰动,τf值的细微波动主要与Si4+离子键价和热膨胀系数的波动有关。同时,大离子Ge4+对Si4+的取代引起的σ2角度降低,σ2角度的降低导致了BaMg2Al6Si9O30陶瓷中的负热膨胀峰被抑制,受抑制的热膨胀峰造就了T3温度以下温度区间内相对平缓的热膨胀曲线。在BaMg2Al6Si9O30 (x = 1.25)陶瓷中实现了兼具超低εr、高Q×f、近零τf和超低热膨胀系数:εr = 5.84, Q×f = 32,351 GHz, τf = ‒7.27 ppm/°C, CTE = +1.07 ppm/°C (‒150 °C~+274 °C),该陶瓷在宽温度范围内表现出超低热膨胀特性,打破了致密低介微波介质陶瓷的热膨胀系数纪录,并同时保持了优异的微波介电性能,展现出在6G毫米波通信领域中的应用潜力。

图6 (a)-(e) BaMg2Al6Si9-xGexO30 (0.25 ≤ x ≤ 2)陶瓷在宽温度范围内的热膨胀曲线; (f) 几种典型低介微波介质陶瓷的热膨胀系数
5、作者及研究团队简介

杜康(通讯作者),武汉纺织大学副教授、硕士生导师,入选湖北省“楚天学者”人才计划。主要从事微波介质陶瓷与LTCC材料及器件、介质超构器件的研究。主持国家自然科学基金、武汉市晨光计划等项目10余项,以第一作者/通讯作者在Journal of Advanced Ceramics、Laser & Photonics Reviews、Journal of the European Ceramic Society、ACS Applied Materials &Interfaces等期刊上发表论文40余篇,授权国家发明专利10余项。担任《Crystals》期刊客座编辑、《Journal of Advanced Ceramics》期刊博士审稿团成员。

汪胜祥(通讯作者),武汉纺织大学教授、硕士生导师,法国国家科学院博士后、美国佐治亚理工学院访问学者,入选湖北省海外高层次人才。主要从事功能材料及器件与超常规介质材料的研究。主持/参与国家自然科学基金重大仪器专项、国家自然科学基金等项目20余项,在Nature Communications、Advanced Materials、Journal of Advanced Ceramics、Laser & Photonics Reviews、Applied Physics Letters、ACS Applied Materials &Interfaces等刊物上发表论文100余篇,授权国家发明专利10余项。

雷文(通讯作者),华中科技大学光学与电子信息学院研究员、博士生导师,《硅酸盐辞典》(第二版)信息材料分编委会委员,《无机材料学报》和《Crystals》SCI期刊编委。长期从事5G通信用微波介质材料与LTCC集成元件的研究和成果转化工作。主持国家重点研发课题和国家自然科学基金面上项目等20余项,已在国际权威期刊上发表学术论文200余篇,获授权发明专利20余项(1项美国专利),多项科研成果解决了“卡脖子”难题并实现了“进口替代”,其中1项成功应用于国家重要装备中,“低温烧结微波介质陶瓷材料、工艺、器件的全套关键技术及应用”获2024年度中国发明协会发明创业成果奖一等奖。
《先进陶瓷(英文)》(Journal of Advanced Ceramics)期刊简介
《先进陶瓷(英文)》于2012年创刊,清华大学主办,清华大学出版社出版,清华大学新型陶瓷材料全国重点实验室提供学术支持,创刊主编为中国工程院院士、清华大学李龙土教授,主编为清华大学林元华教授、郑州大学周延春教授和广东工业大学林华泰教授。该刊主要发表先进陶瓷领域的高质量原创性研究和综述类学术论文,涉及先进陶瓷的制备、结构表征、性能评价的各个细节,尤其侧重新材料研制和先进陶瓷基础科学研究等重要方面,致力于在世界先进陶瓷领域搭建学术交流平台,引领和促进先进陶瓷学科的发展。已被SCIE、Ei Compendex、Scopus、DOAJ、CSCD等数据库收录。现为月刊,2024年发文量为174篇;2025年6月发布的影响因子为16.6,连续5年位列Web of Science核心合集“材料科学,陶瓷”学科33种同类期刊第1名;2024年11月入选“中国科技期刊卓越行动计划二期”英文领军期刊项目;2025年入选中国科学院文献情报中心期刊分区表材料科学1区Top期刊。2023年起,本刊结束与国际出版商的合作,改由清华大学出版社自主研发、拥有自主知识产权的科技期刊国际化数字出版平台SciOpen独家发布,标志着该刊结束多年来“借船出海”的办刊模式,回归本土独立运营,也是我国优质英文期刊中最早回归国产平台的期刊之一。
期刊主页:https://www.sciopen.com/journal/2226-4108
投稿地址:https://mc03.manuscriptcentral.com/jacer
期刊ResearchGate主页:https://www.researchgate.net/journal/Journal-of-Advanced-Ceramics-2227-8508

转载本文请联系原作者获取授权,同时请注明本文来自清华大学出版社学术期刊科学网博客。
链接地址:https://wap.sciencenet.cn/blog-3534092-1504195.html?mobile=1
收藏