||
氢气缺乏之肥胖2型糖尿病患者
2型糖尿病肥胖患者和血糖正常受试者呼出气体中氢气和甲烷的检测:两种不同类型膳食纤维的影响及其与餐后血糖浓度的关系
摘要
背景:本研究旨在基于闪光监测法测量餐后血糖水平,以及通过测定呼出气体中肠道产生的氢气(H₂)和甲烷(CH₄)气体量,探究二者之间的关系。
材料与方法:我们对14名2型糖尿病(T2DM)患者和14名无糖尿病个体(对照组)进行了两项食物负荷测试,测试食物包含两种类型的膳食纤维(菊粉和瓜尔胶),同时测定呼出气体中的气体成分,并评估血糖水平。
结果:对照组的所有受试者呼出的氢气量均显著增加。2型糖尿病患者氢气产生量增加的优势比(OR)为0.17(95%置信区间0.031–0.93,p = 0.043)。2型糖尿病患者在食物负荷后呼出气体中的氢气水平低于血糖正常的受试者。在血糖正常的受试者中,餐后血糖的最大升幅与食物负荷后呼出气体中氢气的最大值呈负相关(r = -0.569,p = 0.034)。在乳果糖测试中,2型糖尿病患者呼出气体中的甲烷水平与餐后血糖参数呈正相关(p < 0.05)。
结论:确认氢气产生减少、肠道甲烷产生增加与更严重的餐后高血糖之间的因果关系,可能为纠正2型糖尿病患者的餐后血糖提供新的治疗靶点。
1. 引言
2型糖尿病(T2DM)患者的饮食控制被认为是维持最佳血糖控制和降低远期并发症风险的重要任务。膳食纤维(DF)如今是健康饮食的重要组成部分。根据世界卫生组织(WHO)的建议,成年人每日膳食纤维的摄入量应至少为25克[1]。根据美国营养与饮食学会的建议,每日膳食纤维的摄入量应为每1000千卡热量对应14克纤维,这通常大致相当于成年女性每天约25克,成年男性每天38克[2]。对于2型糖尿病患者来说,摄入与非糖尿病患者相当量的膳食纤维也很重要[3]。建议增加饮食中膳食纤维的摄入量,这是基于大量证据表明膳食纤维可降低一系列慢性疾病的风险。例如,膳食纤维的摄入与心血管疾病[4]、结直肠癌[5,6]、2型糖尿病[7]和肥胖症[8]的风险降低相关。膳食纤维的摄入与总胆固醇和低密度脂蛋白胆固醇(LDL-C)的降低有关。
膳食纤维会影响碳水化合物的吸收[9],并且作为肠道微生物群发酵的底物,有助于维持健康的肠道微生物群代谢。这种发酵过程会产生短链脂肪酸(SCFAs)[10]。除了形成短链脂肪酸外,肠道微生物群对碳水化合物的厌氧发酵最初会产生氢气(H₂),并且在某些人体内会产生甲烷(CH₄)[11]。这些气体部分通过肠壁被吸收进入血液,并通过呼吸排出体外。因此,呼出气体中肠道气体浓度的增加表明肠道细菌开始对膳食纤维进行发酵[12,13,14]。这一原理是通过呼吸测试检测小肠细菌过度生长(SIBO)综合征的基础[15]。小肠细菌过度生长的特征是每毫升空肠抽吸物中至少存在>10⁵个结肠细菌菌落形成单位[16]。一般来说,人体内的结肠细菌每天产生35至321毫升的氢气[17],甚至可能高达每天12升[18]。因此,产甲烷古菌可以代谢氢气和二氧化碳(CO₂)[19],从而产生甲烷,甲烷也可以通过呼吸测试检测出来[20]。因此,肠道微生物群的组成,特别是糖酵解细菌和产甲烷古菌的存在,可以通过呼吸测试间接估计。
最近的研究表明,氢气具有抗氧化、抗炎和抗凋亡的作用[21,22,23]。氢气分子可以自由扩散进入细胞,并中和最具反应性的活性氧(ROS),如羟基自由基和过氧亚硝酸盐,这反过来又减少了促炎分子的产生和随后的细胞凋亡。相比之下,几乎没有证据表明产甲烷细菌具有治疗作用,甚至可能与各种不良反应有关[24,25,26]。
氢气和甲烷的产生取决于膳食纤维的数量和类型,膳食纤维是一组具有不同物理化学性质的异质化合物[27]。这可能解释了它们对2型糖尿病患者和血糖正常受试者代谢影响的差异。此外,这些差异可能是由于个体特有的表型、遗传和其他特征造成的。目前,除了建议增加全谷物、蔬菜和水果作为膳食纤维的来源外,从天然原料中提取的膳食纤维也被纳入健康饮食中,以便以少量提供更多的纤维[28]。这些膳食纤维包括菊粉和瓜尔胶[29,30,31]。添加它们可以使饮食中的膳食纤维达到饱和,并实现推荐的每日膳食纤维摄入量。我们在研究中选择菊粉和瓜尔胶等膳食纤维的主要原因是它们具有不同的化学组成和物理化学特性。瓜尔胶属于可溶性、粘性纤维。从化学角度来看,瓜尔胶是一种由半乳糖和甘露糖组成的胞外多糖。菊粉是果糖聚合物的异质集合,属于可溶性、非粘性纤维。这两种膳食纤维对血糖控制的影响不同[32]。
在我们可获取的文献中,只有两项研究探讨了膳食纤维对餐后血糖水平的影响,并评估了肠道微生物群的状态。这些研究考察了长期摄入膳食纤维对微生物群健康和血糖水平变化的影响[33,34]。其中只有一项研究的对象是存在心脏代谢风险的受试者[34]。尚未有研究探讨2型糖尿病患者和血糖正常者呼出气体中肠道气体(氢气和甲烷)水平与通过闪光血糖监测法测量的餐后血糖之间的关联。因此,我们研究的目的是评估在摄入两种不同类型的膳食纤维(菊粉和瓜尔胶)后呼出气体中甲烷和氢气的水平,以及它们与2型糖尿病肥胖患者和血糖正常受试者餐后血糖浓度的关系。
2. 材料与方法
2.1. 研究设计与研究对象
本研究纳入了14名2型糖尿病患者和14名无糖尿病个体(对照组)。研究对象包括居住在莫斯科地区并被转至M.F.弗拉基米尔斯基莫斯科地区研究与临床研究所治疗内分泌科进行计划住院治疗的白种人2型糖尿病患者。对照组由健康的白种人志愿者组成。本研究已获得当地伦理委员会的批准(2022年4月14日第5号协议)。
2型糖尿病患者的纳入标准如下:已确诊为2型糖尿病;体重指数(BMI)> 30 kg/m²;年龄在40至70岁之间;正在服用可接受的药物,如钠-葡萄糖协同转运蛋白2抑制剂(SGLT-2i)、二肽基肽酶-4抑制剂(DPP-4i)、二甲双胍、磺脲类(SU)药物和胰岛素;愿意且有能力完成所有研究程序;已签署知情同意书。
2型糖尿病患者的排除标准如下:1型糖尿病;使用短效或超短效胰岛素;使用除二甲双胍、磺脲类药物、钠-葡萄糖协同转运蛋白2抑制剂和二肽基肽酶-4抑制剂之外的口服降糖药物;患有胃肠道型自主神经病变。
对照组的纳入标准为年龄在25至55岁之间且已签署知情同意书。对照组的排除标准为存在1型糖尿病、2型糖尿病、肥胖症或代谢综合征。
所有研究对象的一般排除标准如下:炎症性肠病;在研究前1个月内服用过抗生素;在研究前1周内服用过益生菌和益生元;在研究前1周内服用过促动力药和泻药(包括乳果糖);在研究前的最后4周内接受过结肠镜检查或灌肠检查;认知能力受损。
2.2. 补充方案
在纳入研究的前24小时,建议受试者从饮食中排除含有膳食纤维的食物。在研究期间,受试者进行了两项食物负荷测试,同时测定呼出气体中的气体成分(进行氢气-甲烷呼吸测试),并评估组织间液中的血糖水平。所有测试均在早晨空腹状态下进行(上午7:30至10:00)。根据研究方案,受试者食用150克煮荞麦粒搭配30克菊粉,或150克煮荞麦粒搭配30克瓜尔胶(Optifiber®)。膳食纤维溶解在200毫升水中,并在食用粥之前服用。按照标准侧测试的惯例,使用20克乳果糖作为独立测试,无需额外进食,以确定微生物群组成的特征。研究设计和时间框架见图1。

图1. 研究设计和研究时间框架。
2.3. 干预措施
菊粉(Grafti@GR,标准菊粉)由BENEO-Orafti S.A.公司生产(比利时蒂嫩,邮编3300)(成分:每100克含94克菊粉、0克蛋白质、0克脂肪和6克碳水化合物)。瓜尔胶(Optifiber®,瓜尔豆果实提取物)由雀巢健康科学(德国)有限公司生产(德国奥斯特霍芬,邮编67574)。乳果糖(667毫克/毫升,Portalac®糖浆)由Belupo公司生产(克罗地亚共和国科普里夫尼察,邮编48000)。
2.4. 人体测量和代谢评估
在研究开始前测量一次身高和体重。体重指数(BMI)通过将体重(千克)除以身高的平方(米²)来计算。
2.4.1. 糖化血红蛋白(HbA1c)评估
糖化血红蛋白采用高效液相色谱(HPLC)的参考方法(糖尿病控制与并发症试验,DCCT)进行测定;该方法已通过美国国家糖化血红蛋白标准化计划(NGSP)认证。使用的分析系统是罗氏Cobas c8000(罗氏诊断,瑞士,编号2012/122722264,日期2016年9月19日)。
2.4.2. 血糖检测
为进行连续血糖监测(CGM),每位参与者在食物负荷测试前至少2天佩戴FreeStyle Libre(FSL)传感器。患者接受了FSL传感器使用方法的培训。为了充分收集数据,建议即使在测试之外,也至少每8小时使用阅读器或安装了FreeStyle Libre Link应用程序的智能手机读取一次传感器数据。血糖结果通过LibreView基于云的监测系统进行分析,该系统基于兼容的FreeStyle血糖监测设备生成的报告。呼出气体中的气体成分测定是在氢气-甲烷呼吸测试期间进行的,这是一种基于测定呼出气体中氢气和甲烷浓度来诊断肠道微生物群紊乱的现代无创方法。
2.4.3. 呼出气体检测
该测试包括收集呼出气体样本(空腹时以及食物负荷后每20分钟收集一次,共收集3小时:每次呼吸测试收集10个样本),将气体收集在镀铝塑料袋中(广州依婷宝贝科技有限公司,位于中国广州市南沙区黄阁镇),并在呼吸测试和呼出气体采样后不超过7天内,使用气体分析仪(GastroCH4ECK,由Bedfont公司生产,地址为英国肯特郡梅德斯通哈丽雅茨姆,邮编ME17 1JA)对袋中的气体进行氢气、甲烷和氧气(O₂)分析。氢气和甲烷浓度根据真实的氧气含量进行调整,以标准化至肺泡气水平,并以百万分比浓度(ppm)表示。在90分钟测试期间,呼出气体中甲烷产生峰值达到3 ppm或更高的受试者为甲烷产生者(PCH4)。如果在90分钟测试期间,呼出气体中氢气产生量最大值达到20 ppm或更高,则该参与者被归类为氢气产生者(PH2)。当两种气体浓度均超过临界值(甲烷≥3 ppm且氢气≥20 ppm)时,受试者被视为甲烷和氢气产生者(PCH4 + H2)。在测试期间气体浓度较低(甲烷<3 ppm且氢气<20 ppm)的受试者被视为弱甲烷和氢气产生者(WPCH4 + H2)[35]。
2.5. 统计分析
使用IBM SPSS Statistics 26版软件,采用标准的变异统计方法对结果进行统计分析。所有数据以中位数[第一四分位数;第三四分位数](Me [Q1;Q3])和均值±均值标准差(Mean ± SD)表示。使用夏皮罗-威尔克检验(Shapiro–Wilk criterion)检查数据分布的正态性。根据血糖水平相对于基线的变化幅度A(G)以及食物负荷后血糖上升的持续时间,计算0至180分钟内的相对血糖曲线下面积(AUCrel(G))。分析食物负荷后气体的变化幅度和达到最大值的时间(tmax)。采用梯形法计算0至180分钟内气体浓度曲线下面积(AUCabs(H2)和AUCabs(CH4))。A(H2)和A(CH4)估计为基线值(摄入膳食纤维前)与指标最大值之间的差值。对于非正态分布的相关样本数据,使用弗里德曼检验(Friedman test)进行方差分析。使用曼-惠特尼检验(Mann–Whitney test)对两个独立样本进行组间比较。使用斯皮尔曼等级相关系数计算非参数相关性;使用皮尔逊相关系数计算参数相关性。当p < 0.05时,认为差异具有统计学意义。由于本研究是一个先导项目,未预先计算样本量。
3. 结果
3.1. 研究对象特征
本研究纳入了14名2型糖尿病患者(11名女性)和14名对照组受试者(13名女性)。共进行了83次食物负荷测试:2型糖尿病患者组41次,对照组42次,其中包括乳果糖测试27次、瓜尔胶测试28次和菊粉测试28次。一名2型糖尿病患者未进行乳果糖测试。对照组未检测糖化血红蛋白。通过FreeStyle Libre的每日血糖监测报告证实了对照组的血糖正常状态。血糖管理指标(GMI)的中位数为5.6% [5.2;5.8]。血糖管理指标提供了特定时间段(通常为过去90天)内血糖水平的平均估计值。研究对象的特征见表1。
表1.研究对象的特征。 Participant Characteristics
在新标签页中打开 数据以中位数[第一四分位数;第三四分位数](Me [Q1; Q3])表示。1 f—该组受试者中女性人数占总人数的比例;2 BMI—体重指数;3 HbA1c—糖化血红蛋白。 在研究期间,2型糖尿病患者的降糖药物治疗剂量和类型均未改变。大多数患者服用二甲双胍(71.4%),57.1%的患者服用磺脲类药物,50.0%的患者使用钠-葡萄糖协同转运蛋白2抑制剂(SGLT-2i),21.4%的患者使用二肽基肽酶-4抑制剂(DPP-4i),14.3%的患者使用胰岛素。42.9%的2型糖尿病患者服用他汀类药物。对照组的受试者未服用任何药物。 3.2. 气体产生分析 在6名2型糖尿病患者中,服用乳果糖后90分钟内肠道气体产生量几乎没有增加,而对照组的所有受试者在90分钟内均有气体产生。根据90分钟前肠道气体的产生情况,所有受试者被分为氢气产生者(PH2)、甲烷和氢气产生者(PCH4 + H2)或甲烷产生者(PCH4)。根据氢气和甲烷的产生情况对研究对象进行的分组分布见表2。
表2. 在乳果糖呼吸测试中,根据氢气和甲烷产生情况对研究对象的分组分布。

PCH4+——甲烷释放量≥3 ppm;PH2+——氢气释放量≥20 ppm;PCH4+/H2+——同时释放的甲烷≥3 ppm且氢气≥20 ppm;PCH4−/H2−——甲烷释放量<3 ppm,氢气<20 ppm。
在服用乳果糖后的180分钟内,11名2型糖尿病患者中观察到有氢气产生,其中9名为氢气产生者(PH2),而对照组的所有受试者中均观察到有氢气产生,其中8名为甲烷和氢气产生者(PCH4 + H2)(表2)。
在摄入菊粉后,2型糖尿病患者的氢气产生量增加,并且在对照组进行乳果糖测试后,氢气产生量也有所增加(表3)。与摄入瓜尔胶相比,摄入菊粉后和进行乳果糖测试后,氢气的绝对曲线下面积(AUCabs)和氢气变化幅度(A)显著更高(p = 0.032;p = 0.005),而摄入菊粉和进行乳果糖测试之间没有显著差异。
表3.2型糖尿病患者和对照组在进行乳果糖测试以及摄入膳食纤维测试期间的气体产生指标。


数据以(1)中位数[第一四分位数;第三四分位数](Me [Q1; Q3])和(2)均值±标准差(Mean ± SD)表示。* p < 0.05——2型糖尿病组与对照组之间的差异;AUCabs——0至180分钟内气体浓度曲线下的绝对面积;A——变化幅度;tmax——达到最大值的时间。
在乳果糖测试中,2型糖尿病患者的氢气绝对曲线下面积(AUCabs(H2))显著低于对照组(p = 0.043)。与对照组(120分钟[85;140])相比,2型糖尿病患者在服用乳果糖后达到氢气最高水平的时间(tmax(H2))更长,为160分钟[140;180](p = 0.022)。在每个研究组内的各项测试之间,达到氢气最高水平的时间(tmax(H2))没有显著差异。
与对照组相比,2型糖尿病组中甲烷增加的程度(通过AUCabs(CH4)、A(CH4)和tmax(CH4)来衡量)没有显著差异。在对照组中,所有类型的营养负荷都有使甲烷升高的趋势(表3)。
3.3. 血糖水平分析
对两组的血糖曲线都进行了分析。测量了血糖上升的幅度(A(G))和持续时间,并计算了相对血糖曲线下面积(AUCrel(G))(表4)。
表4.2型糖尿病患者和对照组在测试期间的血糖水平。
数据以(1)中位数[第一四分位数;第三四分位数](Me [Q1; Q3])和(2)均值±标准差(Mean ± SD)表示。A(G)——血糖水平变化幅度,AUCrel(G)——0至180分钟内相对血糖曲线下面积,p——差异的显著性;(a–b);[与(b–c)无差异]。* p < 0.01;† p < 0.0001。
在所有的负荷测试中,无论是2型糖尿病患者组还是对照组,在乳果糖测试后观察到的血糖相对于基线的升幅最小,且相对血糖曲线下面积(AUCrel(G))也最小;与摄入膳食纤维后的情况相比,差异显著(表3)。在每个研究组中,食用含菊粉的荞麦后和食用含瓜尔胶的荞麦后,血糖变化幅度(A(G))没有显著差异,不同类型膳食纤维添加到荞麦中后,相对血糖曲线下面积(AUCrel(G))也没有显著差异(p > 0.05)。
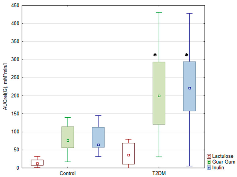
患者组和对照组在服用乳果糖后,血糖变化幅度(A(G))和相对血糖曲线下面积(AUCrel(G))均无显著差异(p > 0.05)。食用含膳食纤维的荞麦后,2型糖尿病患者的血糖水平预期升幅比对照组更为显著(p < 0.05)。与对照组相比,2型糖尿病患者组在食用含膳食纤维的荞麦后,相对血糖曲线下面积(AUCrel(G))显著更高(图2)。
图2. 测试期间的相对血糖曲线下面积(AUCrel(G)(0至180分钟内,单位为mM*min*L))。数据以中位数和四分位距表示 * —与对照组相比,p < 0.05。AUCrel(G) — 0至180分钟内的相对血糖曲线下面积。
两组受试者中,根据食物负荷情况,血糖上升的持续时间没有显著差异(p > 0.05)。然而,与2型糖尿病患者组相比,对照组在食用含膳食纤维的荞麦后,血糖上升的持续时间有更短的趋势。
3.4. 相关性分析
食用菊粉后的血糖变化幅度(A(G))与食用瓜尔胶后的血糖变化幅度(A(G))之间存在显著的正相关关系:在2型糖尿病患者组中(r = 0.617;p = 0.019),在对照组中(r = 0.928;p = 0.0001)(图3a,b)。食用菊粉后的相对血糖曲线下面积(AUCrel(G))与食用瓜尔胶后的相对血糖曲线下面积(AUCrel(G))之间也存在正相关关系:在2型糖尿病患者组中(r = 0.582;p = 0.029),在对照组中(r = 0.783;p = 0.001)(图3c,d)。
图3. 2型糖尿病患者组(a)和对照组(b)中,摄入菊粉后的血糖变化幅度(A(G))与摄入瓜尔胶后的血糖变化幅度(A(G))之间的相关性;以及2型糖尿病患者组(c)和对照组(d)中,摄入菊粉后的相对血糖曲线下面积(AUCrel(G))与摄入瓜尔胶后的相对血糖曲线下面积(AUCrel(G))之间的相关性。A(G)——血糖水平变化幅度,AUCrel(G)——0至180分钟内的相对血糖曲线下面积。
此外,在2型糖尿病患者组中,服用乳果糖后的相对血糖曲线下面积(AUCrel(G))与服用瓜尔胶后的相对血糖曲线下面积(AUCrel(G))之间存在显著的正相关关系(r = 0.568;p = 0.043),并且摄入菊粉后血糖上升的持续时间与服用乳果糖后血糖上升的持续时间之间也存在显著的正相关关系(r = 0.718;p = 0.006)(图4)。
图4. 2型糖尿病患者组中,服用乳果糖后的相对血糖曲线下面积(AUCrel(G))与服用瓜尔胶后的相对血糖曲线下面积(AUCrel(G))之间的相关性(a),以及服用乳果糖后血糖上升持续时间(G)与摄入菊粉后血糖上升持续时间(G)之间的相关性(b)。AUCrel(G)——0至180分钟内的相对血糖曲线下面积。
在2型糖尿病患者组的乳果糖测试中,血糖上升持续时间(G)与甲烷绝对曲线下面积(AUCabs(CH4))之间存在显著的正相关关系(r = 0.707,p = 0.007),相对血糖曲线下面积(AUCrel(G))与甲烷绝对曲线下面积(AUCabs(CH4))之间存在显著的正相关关系(r = 0.824,p = 0.001),血糖变化幅度(A(G))与甲烷绝对曲线下面积(AUCabs(CH4))之间也存在显著的正相关关系(r = 0.773,p = 0.002)(图5a - c)。在瓜尔胶测试中,相对血糖曲线下面积(AUCrel(G))与甲烷绝对曲线下面积(AUCabs(CH4))之间存在显著的正相关关系(r = 0.624,p = 0.017),这表明血糖升高与甲烷产生之间存在直接关联(图5d)。
图5. 2型糖尿病患者组中,在乳果糖测试中,甲烷绝对曲线下面积(AUCabs(CH4))与血糖上升持续时间(G)之间的相关性(a);甲烷绝对曲线下面积(AUCabs(CH4))与相对血糖曲线下面积(AUCrel(G))之间的相关性(b);甲烷绝对曲线下面积(AUCabs(CH4))与血糖变化幅度(A(G))之间的相关性(c);在瓜尔胶测试中,相对血糖曲线下面积(AUCrel(G))与甲烷绝对曲线下面积(AUCabs(CH4))之间的相关性(d)。AUCabs——0至180分钟内气体浓度曲线下的绝对面积,A(G)——血糖水平变化幅度,AUCrel(G)——0至180分钟内的相对血糖曲线下面积。
在对照组中,摄入瓜尔胶后,血糖变化幅度(A(G))与氢气变化幅度(A(H₂))之间存在显著的负相关关系(r = -0.569,p = 0.034)。氢气的最大升幅与血糖水平的最小升幅相关(图6)。
图6. 对照组在瓜尔胶测试中血糖变化幅度(A(G))与氢气变化幅度(A(H₂))之间的相关性。A(G)——血糖水平变化幅度,A(H₂)——氢气水平变化幅度。
4. 讨论
在我们的研究中,我们获得了2型糖尿病患者在摄入不同益生元以及进食后呼出气体中甲烷(CH₄)和氢气(H₂)水平变化的数据,并且我们还分析了各个指标与餐后血糖水平之间的相关性。乳果糖呼吸测试显示,对照组的所有受试者以及仅7名2型糖尿病患者的氢气产生量有所上升,其中1名患者仅产生甲烷,另1名患者既不产生甲烷也不产生氢气。建议将90分钟内氢气浓度相对于基线升高超过20 ppm作为小肠细菌过度生长(SIBO)的诊断依据[19]。在我们的研究中,14名2型糖尿病患者中有5名,14名对照组受试者中有11名可被诊断为小肠细菌过度生长。我们针对一小部分患者的数据并未证实糖尿病患者患小肠细菌过度生长的风险是无糖尿病患者的2.91倍这一说法[36]。与正常组相比,2型糖尿病患者产生的氢气水平较低,且氢气最大浓度的峰值出现得晚得多。摄入的乳果糖经结肠发酵产生的氢气(H₂)在呼气中出现或达到最大值,可能反映了口盲肠运输时间(OCTT)[37]。据报道,包括2型糖尿病患者在内的不同亚组患者中都存在呼气测试延迟的情况[32,38]。
人们可以分为不同的组别:那些呼出气体中仅释放氢气的人(表明不存在产甲烷古菌(MetArchs))、那些主要释放甲烷的人(表明存在许多消耗氢气的产甲烷古菌)、那些同时释放甲烷和氢气的人(存在的产甲烷古菌相对较少),以及那些不释放大量氢气和甲烷的人(表明肠道菌群不佳)[24,39,40,41]。我们的研究表明,对照组的特征是肠道菌群平衡且以甲烷和氢气产生者(PCH4+/H2+)为主。糖尿病患者组中存在非甲烷和氢气产生者(PCH4−/H2)证实了糖尿病患者存在肠道菌群失调。根据已发表的实验和临床研究,糖尿病患者的肠道微生物组与产甲烷古菌丰度增加以及双歧杆菌、拟杆菌、粪杆菌、阿克曼氏菌和罗氏菌等产氢细菌减少有关[42]。产甲烷古菌通过消耗氢气产生甲烷,这降低了氢气在肠腔和血液中的浓度,并降低了氢气成分的抗氧化活性。这可能通过增加氧化应激导致肥胖[43]。
在我们的研究中,与对照组相比,任何食物负荷下2型糖尿病患者的氢气产生量均有所下降,这也可能表明产氢细菌数量减少。甲烷产生量增加表明存在代谢紊乱和氧化应激[44,45],而氢气合成则表明代谢健康和抗氧化防御状态良好。氢气是肠道微生物群发酵乳果糖和膳食纤维的产物。氢气可以轻松穿透细胞膜,并具有抗氧化、抗炎和抗凋亡作用[46]。瓜尔胶测试显示,在血糖正常的个体中,血糖变化幅度(A(G))与氢气变化幅度(A(H₂))呈负相关(r = -0.569,p = 0.034),氢气的最显著增加与血糖的较小增加相关。结果证实了对照组受试者肠道微生物群的酶活性水平得以维持。
正如我们的研究中所示,摄入菊粉和瓜尔胶对血糖反应具有相似的影响,即摄入膳食纤维后血糖变化幅度(A(G))和相对血糖曲线下面积(AUCrel(G))之间存在正相关关系[47]。根据我们的研究,膳食纤维的类型对氢气的产生可能有不同的影响。2型糖尿病患者在食用含菊粉的荞麦粥后产生的氢气量高于食用含瓜尔胶的粥后产生的氢气量。我们认为这是由于膳食纤维的化学组成不同以及所涉及的微生物群的酶活性不同所致[32,47,48]。
在摄入乳果糖后,2型糖尿病患者呼出气体中氢气增加的峰值出现在160分钟,而对照组中则出现得更早(在120分钟)(p < 0.05)。然而,摄入菊粉后有氢气达到最大水平的时间(tmax H₂)更高的趋势。这些变化可能与2型糖尿病患者食物在肠道中运输缓慢[49,50,51]以及菊粉的药理特性[32]有关。在服用瓜尔胶时,2型糖尿病患者的氢气达到最大水平的时间(tmax H₂)并不显著低于对照组受试者。其可能的原因可能与膳食纤维的粘度程度有关[32]。Paudel D.等人在2024年进行的一项研究结果揭示了这一事实的另一种解释,该研究表明瓜尔胶可能会对肠道状况产生影响[52]。这些发现需要通过大量受试者进行进一步研究。
与对照组中氢气产生量与血糖水平之间的负相关关系相反,在乳果糖测试中,2型糖尿病患者在血糖变化幅度(A(G))与甲烷绝对曲线下面积(AUCabs(CH4))之间(r = 0.773;p = 0.002)、血糖变化幅度(A(G))与甲烷变化幅度(A(CH4))之间(r = 0.707;p = 0.007)以及相对血糖曲线下面积(AUCrel(G))与甲烷变化幅度(A(CH4))之间(r = 0.824;p = 0.001)均获得了可靠的(p < 0.05)正相关关系。肠道微生物群,尤其是古菌,会产生甲烷作为代谢产物。呼出气体中的甲烷水平是体内代谢紊乱以及小肠细菌过度生长严重程度的直接指标,而小肠细菌过度生长会恶化心血管疾病的预后[53]。在文献中,有基于实验数据证明甲烷具有积极生理特性的证据[54,55,56,57]。在我们的研究中观察到的对照组中甲烷产生量较高的趋势,可能与氢气产生量增加有关,在甲烷产生过程中,产甲烷的肠道微生物群会对氢气进行再利用[58]。
在我们的研究中,对照组和糖尿病组中的女性比例相同。通过将患有胃肠道疾病的患者排除在研究之外,我们减少了这些因素对研究结果的影响。根据已发表研究的结果,性别对呼吸测试结果的影响存在矛盾。一些研究证实了女性是主要的甲烷产生者这一事实[59]。然而,在其他研究中,男性和女性的呼吸测试结果并无差异[60,61,62,63]。与此同时,Newberry C.等人[64]发现,随着年龄增长,女性患小肠细菌过度生长的可能性增加,因此与男性相比,这会导致甲烷产生量增加。在另一项研究中发现,年龄对女性的呼吸测试结果没有影响[65]。
根据文献,呼吸测试与体重之间关系的研究结果存在矛盾。在涉及成年患者的研究中,发现体重增加与氢气产生量减少或甲烷产生量增加之间存在相关性[66,67]。然而,其他针对儿童的研究显示出不同的趋势:阳性呼吸测试与较低的体重指数(BMI)和年龄别身高Z评分相关,这表明存在小肠细菌过度生长[60,68]。2020年发表了两项研究。一项研究未显示体重指数(BMI)对呼吸测试有任何影响[65]。另一项研究发现,在女性中,BMI与气体产生量增加之间存在微弱关系[59]。
5. 研究局限性
对照组的中位年龄略低于2型糖尿病患者。2型糖尿病患者均为肥胖患者,且服用不同种类的降糖药物,这可能影响了肠道微生物群的组成和肠道气体的产生。
在这项研究中,我们使用了单次给予菊粉、瓜尔胶和乳果糖的方式来记录代谢性肠道微生物群活性的气体生物标志物的产生情况。生物标志物水平反应的差异反映了所研究人群中微生物组分类组成的差异,但由于未对肠道微生物群微生物进行测序,我们无法证实这一点。我们计划在后续研究中,长期给予不同的益生元,并对微生物群的分类组成进行分析。
由于这是一项仅有28名参与者的可行性先导研究,因此谨慎解读我们的数据非常重要。为了证实我们的发现并得出更具普遍性的结论,有必要进行更大规模、统计效力更强的研究。
6. 结论
据我们所知,这是第一项基于闪光监测法探究餐后血糖水平,以及通过测量呼出气体中肠道产生的氢气和甲烷气体量来研究二者关系的研究。对照组的所有受试者呼出的氢气量均显著增加。2型糖尿病患者在食物负荷后呼出气体中的氢气水平低于血糖正常的受试者。在血糖正常的受试者中,摄入瓜尔胶后,血糖的最大升幅与呼出气体中氢气的最大值呈负相关。与此同时,在2型糖尿病患者中,在乳果糖测试中呼出气体中的甲烷水平与餐后血糖参数呈正相关。所获得的数据可能表明肠道气体水平与餐后血糖之间存在关联。需要在更大的样本中,并针对不同类型的降糖治疗,进一步研究2型糖尿病患者肠道气体产生与餐后血糖之间的关系。确认氢气产生减少、肠道甲烷产生增加与更严重的餐后高血糖之间的因果关系,可能为纠正2型糖尿病患者的餐后血糖确定新的治疗靶点。
Archiver|手机版|科学网 ( 京ICP备07017567号-12 )
GMT+8, 2026-2-20 13:43
Powered by ScienceNet.cn
Copyright © 2007- 中国科学报社