数学公式的前后要加上 $ 或 \ ,比如:$f(x) = 3x + 7$ 和 \(f(x) = 3x + 7) \ 效果是一样的;如果用 \ \,或者使用 $$ 和 $$,则该公式独占一行;如果用 \begin{equation}和 \end{equation},则公式除了独占一行还会自动被添加序号, 如何公式不想编号则使用 \begin{equation*} 和 \end{equation*}.
2、字符普通字符在数学公式中含义一样,除了# $ % & ~ _ ^ \ { }若要在数学环境中表示这些符号 # $ % & _ { },需要分别表示为 # $ % & _ { },即在个字符前加上 \ 。
3、上标和下标用 ^ 来表示上标,用 _ 来表示下标,看一简单例子:
1 2 | $$sum_{i=1}^n a_i=0$$ $$ f(x)=x^{x^x}$$ |
效果如下:

4、希腊字母

5、数学函数

6、在公式中插入文本
可以通过 \mbox{text} 在公式中添加 text ,比如:
1 2 3 4 5 6 7 | \documentclass{article} \usepackage{CJK} \begin{CJK*}{GBK}{song} \begin{document} $$\mbox{对任意的$x>0$}, \mbox{有 }f(x)>0. $$ \end{CJK*} \end{document} |
效果:
7、分数及开方
1 2 3 | \frac{分子}{分母} \sqrt{expression_r_r_r}表示开平方, \sqrt[n]{expression_r_r_r} 表示开 n 次方. |
\ldots 表示跟文本底线对齐的省略号;\cdots 表示跟文本中线对齐的省略号,比如:
表示为

9、括号和分隔符
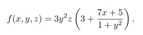
() 和 [ ] 和 | 对应于自己;{} 对应于 { };|| 对应于 |。当要显示大号的括号或分隔符时,要对应用 \left 和 \right,如:[f(x,y,z) = 3y^2 z \left( 3 + \frac{7x+5}{1 + y^2} \right).]对应于

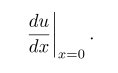
\left. 和 \right. 只用与匹配,本身是不显示的,比如,要输出:

则用left. \frac{du}{dx} \right|_{x=0}.
10、多行的数学公式
可以表示为:
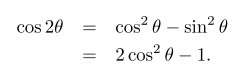
1 2 3 4 | \begin{eqnarray*} \cos 2\theta & = & \cos^2 \theta - \sin^2 \theta \\ & = & 2 \cos^2 \theta - 1. \end{eqnarray*} |
其中&是对其点,表示在此对齐。* 使latex不自动显示序号,如果想让latex自动标上序号,则把 * 去掉
11、矩阵

表示为:
1 2 3 4 5 6 7 8 9 10 11 | The \emph{characteristic polynomial} $\chi(\lambda)$ of the $3 \times 3$~matrix \[ \left( \begin{array}{ccc} a & b & c \\ d & e & f \\ g & h & i \end{array} \right)\] is given by the formula \[ \chi(\lambda) = \left| \begin{array}{ccc} \lambda - a & -b & -c \\ -d & \lambda - e & -f \\ -g & -h & \lambda - i \end{array} \right|.\] |
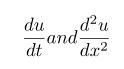
\frac{du}{dt} and \frac{d^2 u}{dx^2}
效果如下:

1 2 3 4 | \[ \frac{\partial u}{\partial t} = h^2 \left( \frac{\partial^2 u}{\partial x^2} + \frac{\partial^2 u}{\partial y^2} + \frac{\partial^2 u}{\partial z^2}\right)\] |
效果如下:

1 | \lim_{x \to +\infty}, \inf_{x > s} and \sup_K |
效果如下:

1 | \[ \lim_{x \to 0} \frac{3x^2 +7x^3}{x^2 +5x^4} = 3.\] |
效果如下:

1 | > \[ \sum_{k=1}^n k^2 = \frac{1}{2} n (n+1).\] |
效果如下:

1 | \[ \int_0^{+\infty} x^n e^{-x} \,dx = n!.\] |
效果如下:

1 2 3 | \[ \int_{x^2 + y^2 \leq R^2} f(x,y)\,dx\,dy = \int_{\theta=0}^{2\pi} \int_{r=0}^R f(r\cos\theta,r\sin\theta) r\,dr\,d\theta.\] |
效果如下:

1 | \[ \int_0^1 \! \int_0^1 x^2 y^2\,dx\,dy.\] |
效果如下:

1 2 3 4 5 6 7 8 9 10 11 12 13 14 15 16 17 18 19 20 21 22 23 24 25 26 27 | One would typeset this in LaTeX by typing In non-relativistic wave mechanics, the wave function $\psi(\mathbf{r},t)$ of a particle satisfies the \emph{Schr\"{o}dinger Wave Equation} \[ i\hbar\frac{\partial \psi}{\partial t} = \frac{-\hbar^2}{2m} \left( \frac{\partial^2}{\partial x^2} + \frac{\partial^2}{\partial y^2} + \frac{\partial^2}{\partial z^2} \right) \psi + V \psi.\] It is customary to normalize the wave equation by demanding that \[ \int \!\!\! \int \!\!\! \int_{\textbf{R}^3} \left| \psi(\mathbf{r},0) \right|^2\,dx\,dy\,dz = 1.\] A simple calculation using the Schr\"{o}dinger wave equation shows that \[ \frac{d}{dt} \int \!\!\! \int \!\!\! \int_{\textbf{R}^3} \left| \psi(\mathbf{r},t) \right|^2\,dx\,dy\,dz = 0,\] and hence \[ \int \!\!\! \int \!\!\! \int_{\textbf{R}^3} \left| \psi(\mathbf{r},t) \right|^2\,dx\,dy\,dz = 1\] for all times~$t$. If we normalize the wave function in this way then, for any (measurable) subset~$V$ of $\textbf{R}^3$ and time~$t$, \[ \int \!\!\! \int \!\!\! \int_V \left| \psi(\mathbf{r},t) \right|^2\,dx\,dy\,dz\] represents the probability that the particle is to be found within the region~$V$ at time~$t$. |
效果如下:

转载本文请联系原作者获取授权,同时请注明本文来自宋红强科学网博客。
链接地址:https://wap.sciencenet.cn/blog-597968-1480764.html?mobile=1
收藏