||
近期,南京农业大学农学院周治国教授团队与新疆农业大学汤秋香教授团队完成的题为“Drought is associated with inhibition of pollen tube directional growth via enhancing nitric oxide signaling in Gossypium hirsutum ovules”的研究在Journal of Integrative Agriculture(JIA)优先在线发表。
该研究系统聚焦于一氧化氮在花粉管定向生长中的关键调控作用,比较了干旱敏感型与干旱耐受型棉花品种中NO代谢失衡导致受精失败的生理-分子机制,阐明了干旱胁迫诱导棉花生殖障碍的机理,为抗旱育种提供理论依据。
干旱抑制花粉管定向生长,降低受精率
研究利用干旱敏感型(豫早棉9110)和干旱耐受型(德夏棉1号)品种进行试验。结果显示,干旱胁迫导致两个品种的受精率分别降低了30.06%和15.88%。通过显微观察发现,干旱条件下,花粉管在进入胚珠时出现了明显的“弯曲”现象,难以顺利进入胚囊。

图1 授粉后20小时干旱对胚珠中花粉管定向生长的影响

胚珠珠孔处NO异常积累
利用荧光探针检测发现,干旱胁迫显著增强了棉花胚珠内的一氧化氮(NO)荧光强度。相关性分析表明,胚珠中的NO含量与受精率呈显著负相关,暗示NO的过量积累可能抑制了花粉管的定向引导。

图2 授粉后12小时内胚珠内一氧化氮荧光现象
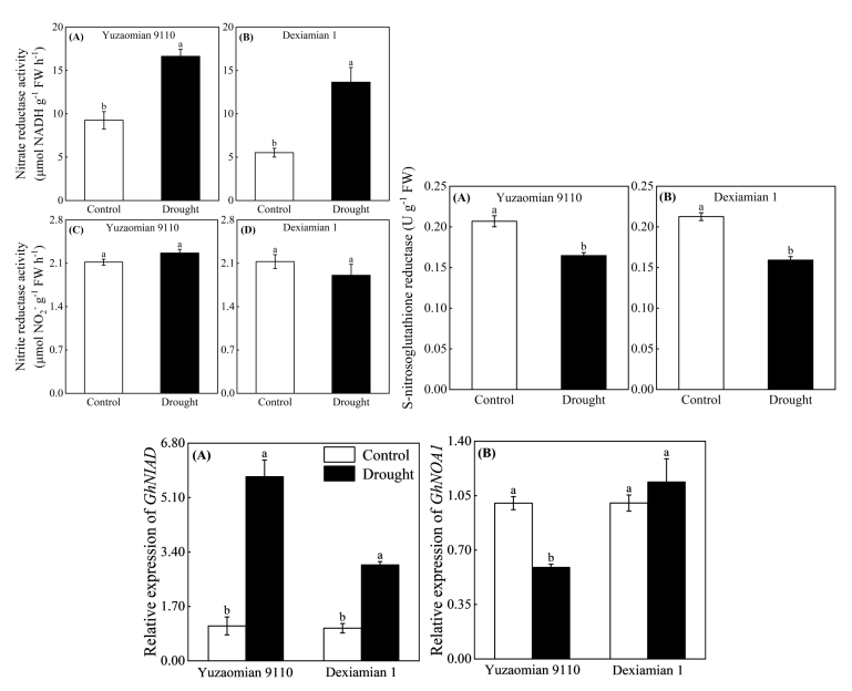
NO代谢失衡:合成增加、清除减弱
研究进一步解析了NO积累的生理机制:
合成方面:干旱诱导了硝酸还原酶(NR)基因 GhNIAD 的上调表达,增强了NR活性,从而促进了NO的合成。其中,干旱敏感型品种的NR活性提高了79.89%,而耐受型品种则提高了147.37%。在干旱条件下,豫早棉9110和德夏棉1号胚珠中的 GhNIAD 表达量分别上调了约5.28倍和2.94倍。
清除方面:干旱降低了S-亚硝基谷胱甘肽还原酶(GSNOR)的活性,导致NO的清除能力减弱,从而在胚珠中维持了较高的NO水平。豫早棉9110和德夏棉1号的GSNOR活性分别降低了20.39%和25.47%。

图3干旱诱导棉花胚珠一氧化氮代谢失衡及抑制受精的作用机理
本研究通过解析干旱条件下棉花胚珠NO的代谢规律,阐明了NO信号在干旱诱导的花粉管定向生长受阻中的重要作用。这一发现为深入理解干旱引发棉花生殖障碍的分子生理机制提供了新见解,也为通过调控信号分子来提高作物耐旱性提供了潜在靶点。
Cite the article: Jiyuan Miao, Mengdie Cheng, Wajid Ali Khattak, Zhanhan Wang, Huilian Yu , Wenqing Zhao, Shanshan Wang, Binglin Chen, Youhua Wang, Zhiguo Zhou, Qiuxiang Tang, Wei Hu. 2026. Drought is associated with inhibition of pollen tube directional growth via enhancing nitric oxide signaling in Gossypium hirsutum ovules. Journal of Integrative Agriculture, Doi:10.1016/j.jia.2026.01.030
https://doi.org/10.1016/j.jia.2026.01.030
Journal of Integrative Agriculture(《农业科学学报(英文)》, JIA)由中华人民共和国农业农村部主管,中国农业科学院与中国农学会主办,中国农业科学院农业信息研究所承办。综合性英文学术期刊,月刊。创刊于2002年,现任主编为中国科学院院士陈化兰。JIA主要栏目有作物科学、园艺、植物保护、动物科学、动物医学、农业生态环境、食品科学、农业经济与管理等。刊稿类型有综述、研究论文、简报以及评述等。全部论文在Elsevier-ScienceDirect (SD) 平台OA出版。最新SCI影响因子4.4,位于SCI-JCR农业综合学科Q1区。中国科学院分区农林科学1区。2016年以来先后获得中国科协等部委 “提升计划”“登峰计划”“卓越计划”项目支持。
Archiver|手机版|科学网 ( 京ICP备07017567号-12 )
GMT+8, 2026-4-4 12:24
Powered by ScienceNet.cn
Copyright © 2007- 中国科学报社