liuzhiming69的个人博客分享 http://blog.sciencenet.cn/u/liuzhiming69

博文

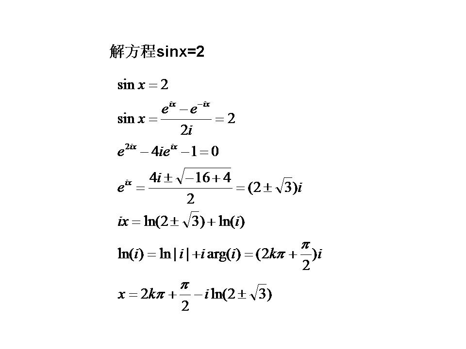
解方程sinx=2

已有 229 次阅读 2025-10-28 06:48 |系统分类:科研笔记

演示文稿1.jpg



https://wap.sciencenet.cn/blog-3556836-1507735.html

上一篇:超级时空相对论度规推导方法之一
下一篇:解方程sinx=2之二
收藏 IP: 121.28.181.*| 热度|

1 王涛

该博文允许注册用户评论 请点击登录 评论 (3 个评论)

数据加载中...

Archiver|手机版|科学网 ( 京ICP备07017567号-12 )

GMT+8, 2025-11-6 03:19

Powered by ScienceNet.cn

Copyright © 2007- 中国科学报社

返回顶部