liuzhiming69的个人博客分享 http://blog.sciencenet.cn/u/liuzhiming69

博文

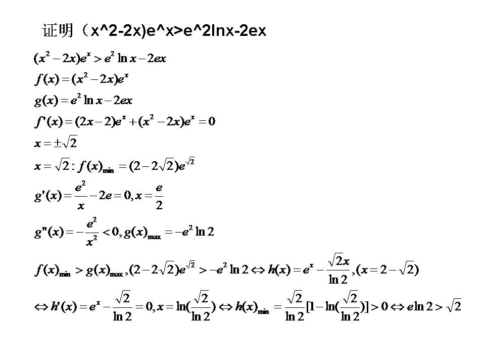
证明(x^2-2x)e^x>e^2lnx-2ex

已有 86 次阅读 2025-9-29 06:27 |系统分类:科研笔记

演示文稿1.jpg



https://wap.sciencenet.cn/blog-3556836-1503962.html

上一篇:卡塔兰常数G的级数解
下一篇:a+b>3,a^2+b^2一定大于3吗?
收藏 IP: 121.28.181.*| 热度|

1 王涛

该博文允许注册用户评论 请点击登录 评论 (0 个评论)

数据加载中...

Archiver|手机版|科学网 ( 京ICP备07017567号-12 )

GMT+8, 2025-10-2 03:08

Powered by ScienceNet.cn

Copyright © 2007- 中国科学报社

返回顶部