盐胁迫是制约水稻生产的主要非生物胁迫之一,超过五分之一的耕地受到盐分影响,表现为离子毒害、渗透失衡、光合受抑和氧化损伤等。在东北等地,盐碱地以碳酸氢钠和碳酸钠为主,土壤偏碱,除渗透与离子效应外,还叠加高碱度胁迫,更易抑制作物生长。利用植物生长促进根际细菌作为绿色策略,能够通过养分活化、螯铁、合成吲哚‑3‑乙酸等多途径促生并缓解逆境,但在碱盐条件下的研究仍有限。本研究从水稻根际分离耐盐促生菌,系统解析其基因组与促生机理,并评估其在中性盐和碱性盐条件下缓解水稻盐胁迫、促进生长的效果与生理响应。研究目的在于筛选得到可用于盐碱地水稻生产的高效菌株并阐明其作用基础。
研究过程与结果
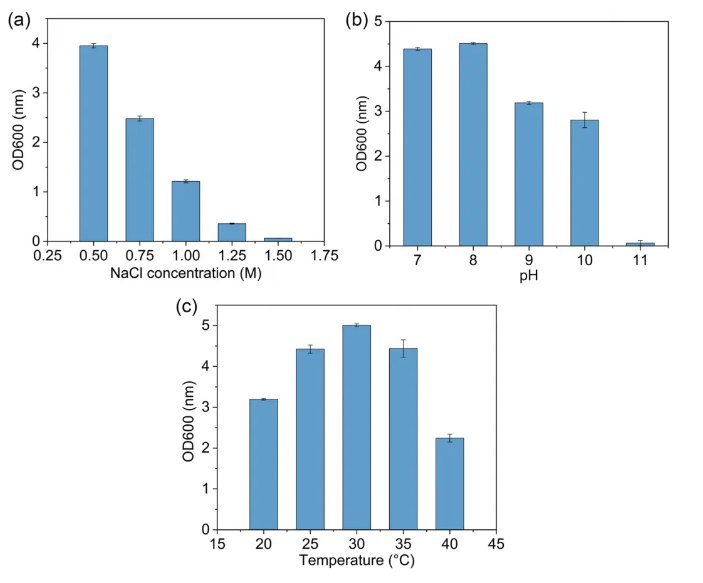
本文自黑龙江大庆水稻根际分离获得耐盐菌株,初筛促生特性后选定菌株D2。菌株D2为革兰氏阴性短杆,菌落乳白、圆整;能在氯化钠浓度为1.25摩尔/升的条件下生长,对碱性环境耐受至pH 10,最适温度为25–35摄氏度。16S rRNA序列分析显示其与肠杆菌属近缘;在全基因组层面,测得基因组大小4,659,687碱基对,G + C含量55.73%,包含4327个编码序列、74个转运RNA和9个核糖体RNA。基于平均核苷酸一致性判定,菌株D2被确定为阿氏肠杆菌。基因功能注释显示,其代谢相关基因最为丰富。

氯化钠浓度 (a)、pH值 (b) 和温度 (c) 对LB培养基中菌株D2生长的影响
针对关键促生性状的定量测试表明,菌株D2可利用色氨酸产生吲哚‑3‑乙酸,48小时产量为20.8 ± 1.8微克/毫升;在不溶性磷酸三钙体系中72小时可释放无机磷548.8 ± 6.6毫克/升,伴随培养上清pH由7.0降至4.3;可产生螯铁素,定量为38.0 ± 2.5%;在以1‑氨基环丙烷‑1‑羧酸为唯一氮源条件下可生长,但脱氨酶活性较低,为24.8 ± 4.9纳摩尔α‑酮丁酸/毫克蛋白/小时。基因组进一步揭示了其促生分子基础:携带色氨酸合成与吲哚‑3‑丙酮酸途径关键基因 (trpA/B/CF/E/GD/S、ipdC),含有与天冬氨酸转氨酶和醛脱氢酶相关基因 (aspC、aldB、ALDH),支持吲哚‑3‑乙酸生物合成;未检测到经典1‑氨基环丙烷‑1‑羧酸脱氨酶基因acdS,但存在同源功能的D‑半胱氨酸脱硫酶基因dcyD;磷活化相关基因 (gcd、pstA/B/C/S、phoA、aphA及phn簇) 完善,支持通过葡糖酸等有机酸溶磷与有机磷矿化;铁获取方面具备肠杆菌素与气旋素生物合成及转运基因簇 (entA/B/C/D/E/F/H/S、iucA/B/C/D、fepA/B/C/D/G等);同时检出氮代谢相关基因 (nifJ、isc与suf家族) 及合成或转运甘氨酸甜菜碱、脯氨酸和海藻糖的基因,另含纤维素、黏菌酸与聚β(1,6)‑N‑乙酰‑D‑葡糖胺等胞外多糖合成基因,提示其具备耐盐定殖与渗透调节潜力。

肠杆菌属阿氏肠杆菌D2的基因组图谱
在盆栽验证中,我们以水稻品种“长白9号”为材料,于移栽后1天和7天进行两次根际接种,随后设置150毫摩/升氯化钠与40毫摩/升碳酸钠胁迫,并设清水对照。未接种条件下,盐处理明显抑制生长:在氯化钠胁迫下多项生长指标下降23.2%–60.7%;在碳酸钠胁迫下,长度与生物量下降10.7%–42.9%。相比之下,接种菌株D2在无盐与盐胁迫下均显著促生,根系受益尤为突出:根长提升25.9%–57.1%,根干重提升57.1%–150%;地上部长度与干重分别提升18.1%–34.7%与17.3%–50.4%。在两种盐胁迫下,多数指标在接种后恢复至与无盐对照相当或更高的水平。

有盐和无盐条件下接种D2菌株对水稻生长的影响
文章进一步测定了叶绿素、可溶性蛋白、脯氨酸与丙二醛含量,以及抗氧化相关酶活和离子稳态。未接种时,氯化钠和碳酸钠胁迫分别使叶绿素含量降低29%与11.5%。接种菌株D2可在各处理下显著提高叶绿素,总量较各自对照提升18.5%–28.2%;总可溶性蛋白在清水、氯化钠和碳酸钠条件下分别提升17%、14.8%和21.4%。盐胁迫诱导脯氨酸积累,接种后进一步上升,其中“D2+氯化钠”达到100.8微克/克。丙二醛在盐条件显著上升,而接种菌株D2可降低其生成,在氯化钠组降幅达26.7%。与氧化胁迫相关的酶学指标显示,未接种时盐胁迫分别使超氧化物歧化酶、过氧化物酶和过氧化氢酶活性在氯化钠组上升92.4%、139.2%和97.2%,在碳酸钠组上升56.4%、109.1%和48.9%;接种菌株D2后,这些酶活较各自盐对照下降9.7%–23%,提示氧化压力得到缓解。离子稳态方面,盐处理导致钠离子积累约为无盐的1.4–1.5倍,同时抑制钾离子吸收;接种D2可降低钠、提高钾,最终使钾钠比在氯化钠与碳酸钠组分别提升约1.6倍与2.2倍。

接种和不接种D2菌株的水稻中 (a) 叶绿素、(b) 总可溶性蛋白、(c) 脯氨酸和 (d) MDA含量的定量
研究总结
文章从水稻根际获得并鉴定出一株耐盐的阿氏肠杆菌D2,兼具多重植物生长促进特性:能够合成吲哚‑3‑乙酸、产生螯铁素、显著溶解无机磷,并具备低水平的1‑氨基环丙烷‑1‑羧酸降解活性;基因组学证据进一步支撑其在吲哚‑3‑丙酮酸途径、磷活化、铁获取、渗透调节与胞外多糖合成等方面的功能基础。盆栽试验证实,菌株D2在中性盐 (氯化钠) 和碱性盐 (碳酸钠) 条件下均能显著促进水稻生长,尤其增强根系长度与干物质累积;同时通过提高叶绿素和可溶性蛋白、促进脯氨酸积累、降低丙二醛水平与抗氧化酶过度活化、优化钾钠比等综合生理调节,缓解盐诱导的渗透与氧化伤害并维持离子稳态。总体来看,阿氏肠杆菌D2是兼具耐盐性与促生潜力的有益根际细菌,在盐碱环境中的应用前景良好。后续需要在更大尺度与生产情境下评估其对水稻产量与品质的贡献,并完善制剂化与田间施用技术。
阅读英文原文:https://www.mdpi.com/2039-4713/14/1/21
JoX 期刊介绍
主编:François Gagné, Environment and Climate Change Canada, Canada
期刊主题涵盖异型生物质毒素、异型生物质药理学、环境有害异物、内分泌干扰物、氧化应激、抗生素、生物标记物、纳米粒子、塑料微粒、农药、除草剂。期刊现已被 Scopus, ESCI (Web of Science), PubMed 等数据库收录。
2024 Impact Factor:4.4
2024 CiteScore:6.0
Time to First Decision:27.6 Days
Acceptance to Publication:2.9 Days


转载本文请联系原作者获取授权,同时请注明本文来自MDPI开放科学科学网博客。
链接地址:https://wap.sciencenet.cn/blog-3516770-1510577.html?mobile=1
收藏