原文作者介绍
倪振博
山东大学。研究方向:量子动力学。
郑雨军
山东大学。研究方向:量子动力学及调控。
彭勇刚
山东大学。研究方向:原子及分子物理。
文章导读
量子芝诺现象的雏形源于von Neumann关于量子系统短时间演化的研究。Misra和Sudarshan发现不稳定量子体系在很短时间内的衰减慢于指数衰减定律。不稳定量子系统在频繁测量作用下,测量的反作用导致系统处于初始态。量子系统中频繁测量“冻结”量子态演化的现象引起了人们浓厚的兴趣,并在量子工程中具有广泛的应用,如:光晶格中不稳定态隧穿;多体系统测量引发的相变以及量子比特-热库系统中的加热和冷却过程等。量子体系的芝诺效应作为量子体系的内禀属性之一,定义量子体系的“芝诺因子”度量量子体系所具有的芝诺效应的能力,并说明量子体系的芝诺能力与量子体系的动力学演化模式有关。为量子工程中合理使用量子芝诺效应提供了新视角。
研究结果与讨论
结论一
量子芝诺效应可理解为量子体系所具有的内禀属性之一。为定量描述量子体系所具有的这种属性,定义量子体系的“芝诺因子”Zf = 1/vQSL,即量子速率极限的倒数。芝诺因子Zf表示量子系统实现量子芝诺效应的能力:量子系统的芝诺因子Zf越大,系统达成量子芝诺效应所需的投影测量次数越少;或者,当投影测量次数为n时,芝诺因子越大的量子系统,其量子态演化越难远离初始态。
结论二
芝诺效应体现了量子体系足够短时间内动力学演化的属性,这表明量子系统的量子芝诺效应与其动力学演化模式有关。相应地,可用量子芝诺因子Zf构建量子芝诺时间 (式1),并可计算量子芝诺效应所需的测量次数。若量子系统演化的总时间为T,量子系统如要实现芝诺效应,除了调节投影测量的次数,还应该选择合适的演化模式。实现量子芝诺效应所需的最少的测量次数可以用量子芝诺时间τ < τQZ估计。基于量子芝诺因子,可以得到芝诺测量次数nQZ = T2/Z2f。

式1
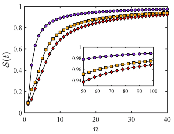
结论三超导量子比特中的耦合量子比特系统是实现量子计算机的理想工具,可以在量子计算中通过组合通用量子门中的单量子比特门和双量子比特门实现多量子比特门。右图展示了耦合量子比特系统量子芝诺效应的数值结果 (初始态选为最大相干态)。MT、ML和SZ演化模式的量子芝诺效应分别用橙色方形、紫色圆形和红色菱形描述。如子图所示,对系统施加足够多的投影测量操作时,系统出现明显的芝诺效应,生存概率接近1。无限小测量时间间隔τ可以“抹去”任何形式的动力学演化。但是,在中间区域中,不同的动力学演化模式足以影响测量所导致的量子系统的芝诺效应。SZ演化模式的量子芝诺因子最小,这意味着SZ演化模式可以有效的抵抗测量引起的减速效应。或者,SZ演化模式还不足以导致量子芝诺效应。在量子计算机中,量子比特之间频繁的投影测量会改变量子硬盘和计算设备的状态,选取合适的量子演化模式可以减弱测量的副作用,从而保证量子系统在计算过程中保持高效的读写交互信息。例如,SZ演化模式可以让我们有效地避免量子芝诺效应,从而在系统内获得更多的信息交换。

研究总结
为度量量子系统的量子芝诺能力,引入量子芝诺因子描述量子系统达到量子芝诺效应的潜力:量子芝诺因子值越大,表示量子系统可以用更少的测量次数达到量子芝诺效应,也就是量子系统很容易产生量子芝诺效应。
由于量子态的规范变换自由度,量子芝诺效应与量子体系的动力学演化模式有关。同时,这也可视为控制量子系统动力学演化的操控资源。例如通过量子芝诺效应调控量子体系的相干、纠缠以及量子计算中信息读写交互等。
阅读英文原文:https://www.mdpi.com/3082088
期刊主页:https://www.mdpi.com/journal/entropy
Entropy 期刊介绍
主编:Kevin H. Knuth, University at Albany, USA
期刊主要发表熵和信息论的相关文章,涉及学科领域有:热力学、统计力学、信息论、生物物理学、天体物理学及宇宙学、量子信息和复杂体系等,当前位于JCR 物理多学科二区。
2024 Impact Factor:2.0
2024 CiteScore:5.2
Time to First Decision:21.8 Days
Acceptance to Publication:2.6 Days


转载本文请联系原作者获取授权,同时请注明本文来自MDPI开放科学科学网博客。
链接地址:https://wap.sciencenet.cn/blog-3516770-1504234.html?mobile=1
收藏