|

编辑推荐
核物理主题数据:实验、理论与应用专题
三维格点空间相对论密度泛函理论:基于PC-PK1的裂变位垒研究
黄逸涵,李博,赵鹏巍
物理学报, 2026, 75(2):020116
doi: 10.7498/aps.75.20251255
cstr: 32037.14.aps.75.20251255
利用三维格点空间相对论密度泛函理论,在轴对称破缺、反射对称破缺和V4 对称性破缺时,计算了锕系原子核的势能曲线,探索了所有四极和八极形变自由度对裂变内垒、外垒和同核异能态的影响。本文的计算结果表明:反射对称性破缺能显著地降低外垒的高度,轴对称性破缺能同时降低内垒和外垒的高度,V4对称性破缺对内垒和外垒几乎没有影响,同核异能态几乎不受对称性破缺的影响。基于相对论密度泛函PC-PK1,对同核异能态的能量经验值有轻微低估。本文数据集可在https://www.doi.org/10.57760/sciencedb.j00213.00229中访问获取。
图1 Z = 94的偶偶核中子对隙(蓝色空心方框)和实验上提取的中子经验对隙(黑色实心方框)随质量数的变化。N = 146的偶偶核的质子对隙(红色空心圆)和实验上提取的质子经验对隙(黑色实心圆)随质量数的变化
编辑推荐
核物理主题数据:实验、理论与应用专题
基于中国散裂中子源Back-n反角白光中子源的10—100 eV共振能区天然银中子全截面测量
唐生达,陈永浩,杨振,杨高乐,彭俊勇,邱奕嘉,任智洲,朱通华,樊瑞睿,唐靖宇,蒋伟,易晗
物理学报, 2026, 75(2):020110
doi: 10.7498/aps.75.20251276
cstr: 32037.14.aps.75.20251276
银是考古领域十分常见的材料,其中子全截面在基于中子共振透射分析(neutron resonance transmission analysis,NRTA)的科技考古场景中具有重要应用。本工作基于中国散裂中子源(China Spallation Neutron Source,CSNS)反角白光中子实验装置(Back-n),利用基于235U的快裂变电离室,测量了天然银样品在10—100 eV范围内共振能区的中子全截面数据,并结合R 矩阵理论对天然银样品的中子透射率进行拟合,得到了相应的共振参数。本工作为CSNS Back-n上开展的NRTA方法学研究提供了新的数据支撑,同时丰富了天然银的中子全截面实验测量数据。本文数据集可在https://doi.org/10.57760/sciencedb.j00213.00208中访问获取。
图10 无样(a)和有样(b)中子本底函数拟合,以及本底扣除后裂变率谱对比(c)和透射率谱(d)
编辑推荐
硼氢化物的热中子散射机理
任文昭,宋红州,叶涛,郭海瑞,应阳君
物理学报, 2026, 75(2):020118
doi: 10.7498/aps.75.20251314
cstr: 32037.14.aps.75.20251314
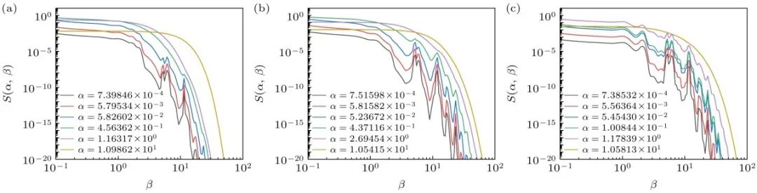
硼氢化物(XBH4,X = Li,Na,K)具有“元素协同”(硼吸收截面高、氢的慢化能力好)效应,可以视为良好的中子屏蔽材料。但是,目前国际评价数据库中缺少硼氢化物实验和评价热散射数据,不利于该材料的屏蔽和慢化性能评估。本文基于密度泛函的第一性原理计算了晶格参数、电子结构和声子态密度等材料性质,并研制了相应的S(α,β)数据和热中子散射截面。模拟得到的晶格参数与实验符合较好,对比了XBH4的电子结构和声子态密度,给出了硼氢化物中阳离子X,B,H对应的相干弹性散射截面、非相干弹性散射截面和非弹性散射截面,结果表明,由于阳离子X的不同,硼氢化物XBH4中各核素的热中子截面存在明显差异。为评估硼氢化物热散射数据对中子屏蔽效应的影响,本文采用简化聚变源模型,使用OpenMC程序对比了不同物理模型下的泄漏中子能谱。结果显示,自由气体模型(FGM)由于忽略了晶格束缚效应,对中子的慢化能力描述不准确,此外,由于氢元素较大的非相干散射截面,各核素相干弹性散射截面对中子能谱的影响较小。本文的研究结果填补了硼氢化物热中子截面数据的缺失,为进一步研究硼氢化物作为中子屏蔽材料的应用奠定了基础。本文数据集可在科学数据银行数据库https://www.doi.org/10.57760/sciencedb.j00213.00219中访问。
图1 (a) XBH4中Li的S(α,β);(b) XBH4中B的S(α,β);(c) XBH4中H的S(α,β)
编辑推荐
核物理主题数据:实验、理论与应用专题
基于中子和质子分离能约束的神经网络对原子核质量的预测
王东东,李鹏,王之恒
物理学报, 2026, 75(2):020104
doi: 10.7498/aps.75.20251315
cstr: 32037.14.aps.75.20251315
原子核质量是反映核结构与稳定性的重要物理量,在核结构研究与天体核物理过程中均具有关键作用。目前,基于神经网络的研究多集中于结合能或中子、质子分离能的单一预测,较少关注结合能与分离能之间的物理约束关系。本研究基于相对论平均场点耦合模型 PCF-PK1,结合神经网络对原子核结合能以及单、双中子和单、双质子分离能进行了系统预测。在训练过程中引入分离能约束,以保持结合能与分离能之间的物理自洽性。结果表明,神经网络能够显著提升结合能的整体预测精度。其中,在特定损失函数权重组合下,结合能的预测均方根偏差可达到 0.140 MeV。进一步分析发现,在保持物理自洽性的前提下,引入分离能约束能够同时对结合能和分离能的预测结果实现小幅优化。本文数据集可在https://doi.org/10.57760/sciencedb.j00213.00239中访问获取。
图1 引入分离能约束的多层前馈神经网络结构示意图
编辑推荐
核物理主题数据:实验、理论与应用专题
机器学习预测熔合反应合成99–103Mo*的截面
黄智龙,李志龙,高泽鹏,王永佳,李庆峰
物理学报, 2026, 75(2):020117
doi: 10.7498/aps.75.20251527
cstr: 32037.14.aps.75.20251527
基于梯度提升决策树 (gradient boosting decision tree,GBDT) 的机器学习算法,构建了一种用于预测99-103Mo*熔合反应截面 (cross section,CS) 的模型,旨在探索医用同位素99Mo的最优合成路径。模型输入包括反应能量、质子数、质量数及结合能等特征量,以及基于唯象理论模型计算的相关参数,输出量为熔合反应截面。研究发现,在测试集上机器学习预测的CS与实验值的平均绝对误差 (mean absolute error,MAE) 为0.0615,优于EBD2模型预测的0.1103。在此基础上,结合GEMINI++程序计算了99-103Mo*的中子衰变道的存活几率,进而得到99Mo的蒸发剩余截面,发现4He + 97Zr在质心能量为18.51 MeV时的2n退激反应道的蒸发剩余截面为1199.80 mb,是合成99Mo 的最优路径。该研究验证了基于物理信息的机器学习方法在熔合反应截面预测中的可靠性,可为优化反应体系选择及在重离子加速器上通过熔合反应产生医用同位素提供参考。本文数据集可在https://doi.org/10.57760/sciencedb.j00213.00244中访问获取。
图1 机器学习预测合成99-103Mo*的蒸发剩余截面. 图中的(a),(b),(c),(d)四列分别对应产生99-103Mo*复合核后,经过1n,2n,3n,4n(即蒸发1—4个中子)退激反应道的过程. 第一行(a)—(d)为机器学习模型预测的初始熔合截面(σF),第二行(a')—(d')为GEMINI++程序计算的相应中子蒸发道的存活概率(P),第三行(a'')—(d'')则是最终的蒸发剩余截面 (σER=σF×P). 所有物理量均作为复合核激发能(E*)的函数
《物理学报》2026年第2期全文链接:
https://wulixb.iphy.ac.cn/custom/2026/2
Archiver|手机版|科学网 ( 京ICP备07017567号-12 )
GMT+8, 2026-3-4 16:26
Powered by ScienceNet.cn
Copyright © 2007- 中国科学报社