||
ICM—以应用为导向的创新研究


文章导读
高纯甲硅烷是微电子和光电子领域最重要、用量最大的“源”性特气,广泛应用于半导体芯片、显示面板、太阳能电池等制造过程,以其为硅源前驱体的锂电池硅碳负极材料近年来也备受关注,市场前景广阔。目前生产甲硅烷的主流路线是先将工业硅氯氢化得到三氯氢硅(TCS),后者再经催化歧化反应得到甲硅烷,存在工艺流程长、投资成本高、生产效率低等问题。
近期,上海交通大学李学刚教授团队与沈阳化工大学周明东教授团队合作对二氯氢硅(DCS)歧化制甲硅烷新路线展开研究,并将其与TCS路线进行对比分析。DCS是改良西门子法多晶硅工艺中氯氢化、还原等步骤都会产生的副产物,常规做法是采用反歧化手段将其转化为TCS并用于生产多晶硅,实现工艺闭环。资料显示,李学刚团队前期已成功实现DCS制甲硅烷新技术的产业化落地,在通威股份旗下四川永祥能源科技有限公司建成1500吨/年高纯甲硅烷工业化装置(新闻报道:上海交大李学刚团队新技术应用:全球首套DCS制甲硅烷工业装置建成投产),该技术通过优化工艺条件控制DCS歧化反应进度,使TCS成为优势副产物,副产的TCS可返回多晶硅工艺生产多晶硅,实现了甲硅烷工艺与多晶硅工艺的紧密结合。研究表明,相比TCS路线,同样基于反应精馏技术的DCS路线可使生产甲硅烷的单位能耗降低78%。因为在光伏电池制造过程中需要用到大量甲硅烷,对通威股份这类上下游一体化的光伏企业来说,新技术可帮助其实现甲硅烷自产自用,有力促进企业提质增效。

图文摘要:不同甲硅烷合成路线工艺框图及其与改良西门子法多晶硅工艺的关系
上述成果发表在Industrial Chemistry & Materials,题为:Silane production from the dichlorosilane by-product of the Siemens process: a comparative study with the trichlorosilane route。欢迎扫描下方二维码或者点击下方链接免费阅读、下载!
扫二维码|查看原文

https://doi.org/10.1039/D5IM00040H
本文亮点
★ DCS制甲硅烷新技术可与改良西门子法多晶硅工艺紧密结合;
★ 相比TCS路线,DCS歧化制甲硅烷在热力学和动力学上均具有显著的优越性;
★ 同为TCS路线,反应精馏工艺比固定床工艺节能75%以上;
★ 同为反应精馏工艺时,DCS路线单位能耗比TCS路线进一步降低约78%。
图文解读
1. 单位能耗对比
作者首先比较了不同工艺路线合成甲硅烷的单位能耗,如图1所示,Scheme I~IV分别代表基于固定床反应器的TCS歧化工艺、基于反应精馏的TCS歧化工艺、基于反应精馏并副产四氯化硅(STC)的DCS歧化工艺以及基于反应精馏并副产TCS的DCS歧化工艺。

图1. 不同工艺路线合成甲硅烷的单位能耗对比
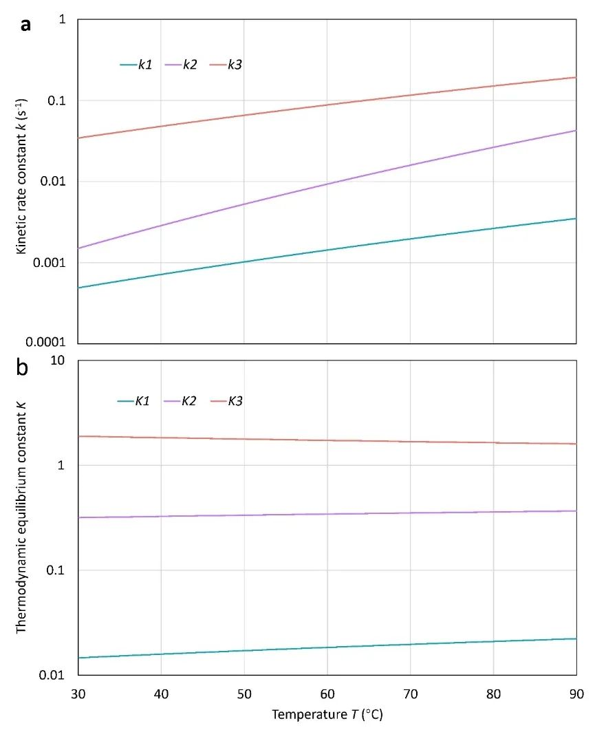
2. 动力学和热力学分析
计算结果表明,80℃条件下DCS歧化反应动力学速率常数是TCS的9.98倍,热力学平衡常数是TCS的17.13倍,DCS歧化路线制甲硅烷在动力学和热力学上相比TCS路线均更有利。

图2. 不同温度下(a)动力学速率常数;(b)热力学平衡常数
3. 催化性能
固定床反应器工艺能耗高的根源在于,氯硅烷歧化反应体系热力学平衡转化率低,反应器与精馏塔之间存在大量物料循环,导致精馏塔再沸器蒸汽消耗巨大。

图3. 不同工艺路线能耗来源分解
4. 副产物组成的影响
TCS歧化反应的副产物仅有STC,而DCS歧化反应的副产物可以是STC或TCS,并可通过调节反应条件控制二者的比例。合成甲硅烷的单位能耗随着副产物中TCS比例的增加而逐渐降低,物耗则逐渐升高。

图4. 基于反应精馏的DCS歧化反应副产物组成对甲硅烷单位能耗和物耗的影响
4. 总结与展望
本文系统比较了不同工艺路线合成甲硅烷的单位能耗水平,其中反应精馏工艺的能耗水平不及固定床反应器工艺的四分之一,而DCS歧化反应路线能够与改良西门子法多晶硅工艺紧密结合,且在动力学和热力学上相较TCS路线均更有利,因此基于反应精馏的DCS歧化制甲硅烷是目前最具竞争力的技术路线。
撰稿:原文作者
排版:ICM编辑部
文章信息
Z.-Y. Chi, P.-B. Bai, W.-D. Xiao, M.-D. Zhou and X.-G. Li, Silane production from the dichlorosilane by-product of the Siemens process: a comparative study with the trichlorosilane route, Ind. Chem. Mater., 2025, DOI: 10.1039/D5IM00040H.
作者简介

通讯作者
李学刚,博士,上海交通大学化学化工学院副研究员,化工系副系主任,主要从事电子材料、含能材料等领域应用基础研究及工程化开发。曾主持国家自然科学基金青年项目、面上项目,内蒙古“关键技术攻关”、“科技兴蒙”专项等重要课题,以及与多家知名企业合作的产学研和成果转化项目。在AIChE J., Chem. Eng. Sci., Ind. Eng. Chem. Res.等期刊发表论文30余篇,获得授权发明专利30余项,担任中国化工学会电子化学品专业委员会和工程热化学专业委员会委员。

通讯作者
周明东,教授,沈阳化工大学化学工程学院博士生导师,2010年博士毕业于慕尼黑工业大学分子催化专业。主要从事绿色精细化工和有机化工等方向的研究,近年来开展的“有机精细化工品绿色合成”领域研究工作取得的多项技术成果达到国际领先水平。先后承担国家级、省部级、横向课题30余项,在国际权威期刊上发表高水平SCI论文百余篇,申请国家发明专利30余项、授权专利11件。入选享受国务院政府特殊津贴专家,"兴辽英才计划"科技创新领军人才(辽宁省特聘教授),辽宁省“百千万人才工程”百人层次人选,辽宁省优秀科技工作者,《Journal of Saudi Chemical Society》期刊特邀编委。曾获辽宁省青年科技奖、辽宁省自然科学二等奖(排名第一)、辽宁省科技进步三等奖(排名第一)等奖项。
第一作者
迟子怡,博士,2024年毕业于上海交通大学并留校任教,主要从事催化反应工程领域研究。
ICM相关文章
Ionic skin: from imitating natural skin to beyond, https://doi.org/10.1039/D2IM00062H
Recent progress of organic room-temperature phosphorescent materials towards application, https://doi.org/10.1039/D3IM00004D
A new metallization method of modified tannic acid photoresist patterning, https://doi.org/10.1039/D3IM00066D
Electrostatically responsive liquid gating system for controlled microbubble generation, https://doi.org/10.1039/D4IM00037D
期刊简介
Industrial Chemistry & Materials (ICM) 目前已被ESCI、EI、美国化学文摘(CA)、DOAJ、Google Scholar检索,入选2024年中国科技期刊卓越行动计划高起点新刊项目,是中国科学院主管,中国科学院过程工程研究所主办,英国皇家化学会(RSC)全球出版发行的Open Access英文期刊,由中国科学院过程工程研究所张锁江院士担任主编。ICM 以化学、化工、材料为学科基础,以交叉为特色,以应用为导向,重点关注工业过程中化学问题、高端材料创制中过程科学的国际前沿和重大技术突破,目前对读者作者双向免费。欢迎广大科研工作者积极投稿、阅读和分享!
期刊网站:https://www.rsc.org/journals-books-databases/about-journals/industrial-chemistry-materials
投稿网址:https://mc.manuscriptcentral.com/icmat
联系邮箱:icm@rsc.org; icm@ipe.ac.cn
联系电话:010-82612330
微信公众号:ICM工业化学与材料
Twitter & Facebook:@IndChemMater
LinkedIn: https://www.linkedin.com/company/industial-chemistry-materials/
Blog: https://blogs.rsc.org/im/?doing_wp_cron=1713430605.5967619419097900390625

Archiver|手机版|科学网 ( 京ICP备07017567号-12 )
GMT+8, 2026-2-19 11:41
Powered by ScienceNet.cn
Copyright © 2007- 中国科学报社